泥漿與岩屑遲到時間
①泥漿遲到時間(T):泥漿從井底上行至井口所需的時間。
②岩屑遲到時間(T)被鑽頭破碎的岩屑受泥漿攜帶,從井底上行至井口所需的時間。
通常,岩屑遲到時間大於泥漿遲到時間(即T >T)。因為岩屑密度大,一般為2.0 ~2.8g/cm ;泥漿密度小,一般為>1. 0~1. 2g/cm 。所以岩屑和泥漿返至井口的速度V與V存在一定的差異,存在V<V的關係。當井底泥漿攜帶岩屑上返,結果是泥漿率先返至井口,岩屑隨後才能到達。
理論計算
泥漿循環時間的理論計算(容積法):
①泥漿下行時間:
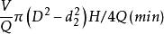
泥漿循環時間T=
式中
V——鑽柱內容積,m ;
Q——泥漿泵排量,m /min
d——鑽柱內徑,m;
H——井深,m。
②泥漿上行時間(即泥漿遲到時間):
泥漿循環時間T=
式中
V——井內環空容積,m ;
D——井徑,m;
d——鑽柱外徑,m。
③泥漿循環一周的時間(全循環時間):
T周m=T+T
實測法
由於理論計算的泥漿上行時間(T)存在一定的誤差,一般較實際情況偏小,而且該誤差隨井深增大而增大。出現上述誤差的原因主要是由於井徑不規則(擴徑)和泵上水係數實際偏低(即泵排量實際偏小)所致。因此,泥漿循環時間通常採用實測。
①實測方法:現場多採用指不劑(有色玻璃紙、塑片,或用電石指不劑)實測泥漿循環時間T,再減去泥漿下行時間T,即可得出實測的泥漿上行時間T。由於實測的泥漿下行時間(T)與理論計算值之間的誤差較小,影響不大,故可用理論值代替。
即實測的泥漿上行時間:
T= T周m-T(min)
②實測步驟:
a.在鑽進過程中加單根(鑽桿)時,將指不劑投入桿內。
b.在接方鑽桿時,記錄開泵時間,此即指不劑隨泥漿在井下循環的開始時間。
c.在震動篩上用水沖洗,接取指不劑,記錄指不劑返出井口的時間(初至,大量到,終了),開泵時間到大量指不劑返出井口的時間間隔,便是泥漿循環一周的時間(T周M);若用電石指不劑,則記錄綜合錄井儀檢測到乙炔氣體的時間。
d:記錄泵沖次(在測定過程中不能停泵)。
以上實測得出的是泥漿下行和上行一周的總時間T周M。
③求出泥漿上行時間:
a.求泥漿下行時間(T)的理論值;
b.求出實測的泥漿上行時間值T=實測的T-T理論值。
影響因素
利用遲到時間將岩層歸位,必須量化遲到時間,建立數學模型。遲到時間受諸多因素的影響,因此,在建立數學模型時,須排除一些干擾因素。
1、鑽井液性能
鑽井液是岩屑的運動載體,其性能決定岩屑的運動規律。鑽井液濃度降低,攜帶岩屑能力隨之下降,岩屑會在其運送過程中產生相對向下的速度,出現“下沉”現象。必須在保證鑽井液其他功能的基礎上,調整其性能,使岩屑與之運動同步。
2、井身結構
井身是岩屑運動的空間載體。井身傾斜、縮徑與塌孔、井徑大小、幾開鑽進成孔都是地熱鑽井重要的因素。初始數學模型的建立,必須首先排除這些因素的干擾。如假設是一開成孔的地熱井,那就需要把鑽頭直徑當作井眼直徑,將井眼、鑽具均理解為標準的圓柱形。
3、機械性能
泥漿泵賦予鑽井液的原動力,泵的排量越大,鑽井液獲得的動能越大,在同一眼井、同一層位的岩屑遲到時間就越短。鑽壓、轉速直接影響岩屑顆粒的大小,是重要的影響因素之一。

