數學定義
波動性年化波動率定義為對象資產的年回報率的對數值的標準差。
波動性一般的時間長度為T(年)的一段時間內的波動率則定義為:
波動性
波動性因此,如果一種資產(如股票)在長度為P的一段時間內,日均的對數回報率的標準差為,那么年化波動性為
波動性
波動性
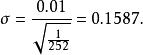
波動性在美國,通常認為(因為美國每年有252個交易日)。因此如果某資產的,那么就可以算出年化波動率為
波動性
波動性當然也可依上式算出月波動率等:時,
波動性Beta係數
波動性貝塔係數(係數,貝他係數,香港又譯作: 啤打係數)是用以度量一項資產系統性風險的指標,是資本資產定價模型的參數之一。指用以衡量一種證券或一個投資證券組合相對總體市場的波動性的一種證券系統性風險的評估工具。
波動性
波動性
波動性
波動性公式為:其中是證券的收益與市場收益的協方差;是市場收益的方差。
因為:
波動性所以公式也可以寫成:
波動性
波動性
波動性
波動性
波動性
波動性其中為證券與市場的相關係數;為證券的標準差;為市場的標準差。
波動性貝塔係數利用回歸的方法計算:(絕對值)
•貝塔係數等於1即證券的價格與市場一同變動。
•貝塔係數高於1即證券價格比總體市場更波動。
•貝塔係數低於1即證券價格的波動比市場為低。
波動性
波動性
波動性
波動性如果=0表示沒有風險,=0.5表示其風險僅為市場的一半,=1表示風險與市場風險相同,=2表示其風險是市場的2倍。
Beta值
波動性
波動性
波動性
波動性用以衡量基金之市場風險,或稱系統性風險。其計算的方式為以過去12個月或24個月之基金月報酬率對同期市場月報酬率做回歸,估計斜率係數而得,當>1(<-1),表示基金坡動度較指數為大,當指數上揚10%(下跌10%),基金會上揚超過10%(下跌超過10%);當=1,表示指數漲跌多少,基金就跟著變動多少。
其他
波動性
波動性
波動性
波動性
波動性不同公司之間的係數有所不同,即便是同一家公司在不同時期,其係數也會或多或少地有所差異。在實際中,要想利用定義式去計算係數是比較困難的。係數的計算常常利用收益率的歷史數據,採用線性回歸的方法取得。一些證券諮詢機構會定期計算和編制各上市公司的係數,人們可以通過中國證券市場資料庫等查詢。

