簡介
在光學中, 法布里-佩羅干涉儀(英文:Fabry–Pérot interferometer)是一種由兩塊平行的玻璃板組成的多光束干涉儀,其中兩塊玻璃板相對的內表面都具有高反射率。法布里-佩羅干涉儀也經常稱作 法布里-佩羅諧振腔,並且當兩塊玻璃板間用固定長度的空心間隔物來間隔固定時,它也被稱作 法布里-佩羅標準具或直接簡稱為 標準具(來自法語étalon, 意為“測量規範”或“標準”),但這些術語在使用時並不嚴格區分。這一干涉儀的特性為,當入射光的頻率滿足其共振條件時,其透射頻譜會出現很高的峰值,對應著很高的透射率。法布里-佩羅干涉儀這一名稱來自法國物理學家夏爾·法布里和阿爾弗雷德·佩羅。
法布里-佩羅干涉儀的共振特性和二項色性濾鏡所利用的共振特性是相同的。實質上,二項色性濾鏡是由很薄的法布里-佩羅干涉儀組連續排列得到的,從而在設計上它們有著相同的數學處理方法。法布里-佩羅干涉儀還被廣泛套用在通信、雷射和光譜學領域,它主要用於精確測量和控制光的頻率和波長。當代工藝已經能夠製造出非常精密且可調諧的法布里-佩羅干涉儀。
理論解釋
對於法布里-珀羅標準具而言,其透射率隨波長的顯著變化是由於兩塊反射板之間多重反射光的干涉。當透射光為同相時它們有相長干涉,對應著標準具透射率的峰值;而當透射光反相時則對應著透射率的極小值。多重反射光彼此是否同相,取決於入射光的頻率、光線在標準具內傳播的折射角、標準具的厚度及其所用材料的折射率。
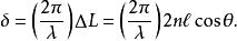
法布里-珀羅干涉儀[法布里-珀羅干涉儀]法布里-珀羅標準具中,兩束相鄰的反射光之間的光程差 ,在不考慮相移時的相位差為
法布里-珀羅干涉儀[法布里-珀羅干涉儀]
法布里-珀羅干涉儀[法布里-珀羅干涉儀]另外,內界面反射率都為 ,則標準具的透射率函式由下式給出
法布里-珀羅干涉儀[法布里-珀羅干涉儀]
法布里-珀羅干涉儀[法布里-珀羅干涉儀]其中 。
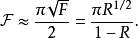
當相鄰兩束光之間的光程差為波長的整數倍時,透射率函式有最大值1。在介質無吸光的情形下,標準具的反射率滿足
法布里-珀羅干涉儀[法布里-珀羅干涉儀]
法布里-珀羅干涉儀[法布里-珀羅干涉儀]當 ,也就是光程差為波長的半奇數倍時透射率函式有最小值,此時對應著反射率的最大值
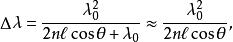
法布里-珀羅干涉儀[法布里-珀羅干涉儀]在透射率函式上,兩個相鄰的透射峰值之間的波長間隔被稱作標準具的自由光譜範圍(FSR),它由下式給出:
法布里-珀羅干涉儀[法布里-珀羅干涉儀]
法布里-珀羅干涉儀[法布里-珀羅干涉儀]其中 是最近峰值的中心波長。
用自由光譜範圍除以透射率函式的半高寬(峰值高度一半時的透射峰寬度),得到的值稱作精細度(Finesse):
法布里-珀羅干涉儀[法布里-珀羅干涉儀]
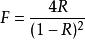
法布里-珀羅干涉儀[法布里-珀羅干涉儀]對於較高的反射比( ),精細度通常可近似為
法布里-珀羅干涉儀[法布里-珀羅干涉儀]
法布里-珀羅干涉儀[法布里-珀羅干涉儀]從這個公式可知反射比越高時標準具的精細度越高,對應其透射峰越銳利。此外標準具的品質因數 等於諧振頻率和半高寬的比值,因此精細度也正比於品質因數{\displaystyle Q\,},這意味著精細度代表了諧振腔的耗散,精細度越高說明諧振腔的耗散越低。
嚴格意義上的法布里-珀羅干涉儀與標準具的區別在於:干涉儀中兩塊玻璃板的間隔長度是可調的,從而能夠控制不同波長的色光的透射率;並由於透射率還和入射光的傾角有關,通常干涉儀本身也是可旋轉的。
套用
•法布里-珀羅干涉儀最常見的套用之一是二項色性濾鏡,它是利用物理氣相沉積(PVD)方法將一組標準具薄膜鍍在光學器件表面。相比於吸收濾鏡,這種光學濾鏡往往具有更精確的反射和透射頻帶,特別是當設計恰當時,它們不會像吸收濾鏡那樣容易造成升溫,因為它們可以反射掉那些不必要的波長的色光。二項色性濾鏡被廣泛套用在光源、相機及天文器材等光學儀器中。
•在使用波分復用技術的通信網路中,塞取多工機包含了成排的由熔凝石英或金剛石製成的微型標準具。這些標準具邊長約為2毫米,嵌入到高精度的微型框架中並發出彩虹色的光澤。這類材料能夠保持兩個反射鏡之間距離的高度穩定性,從而使標準具的諧振頻率在環境溫度變化時也保持高度穩定。金剛石的優越性在於,它具有更好的導熱性而仍擁有較低的熱膨脹係數。2005年起,有些通信儀器公司開始採用光纖本身作為固態標準具,這種設計的好處是減少了大部分嵌入、準直和冷卻帶來的困難。
•光學波長計通常可由多至五台法布里-珀羅干涉儀的組合來構成,這些干涉儀的共振頻率兩兩具有10倍的間隔。待測光束被一面圓柱透鏡發散後,它在這些法布里-珀羅干涉儀中發生各自的干涉,所產生的亮紋的間距則被一台CCD相機所記錄,由此可以確定入射光的波長。
•當雷射諧振腔採用平行平面腔的結構時,它可認為是一種法布里-珀羅干涉儀,雖然對於很多雷射器而言,其中一面反射鏡的反射比可非常接近100%,從而這種諧振腔更像是一種Gires–Tournois干涉儀。半導體雷射器有時會採用法布里-珀羅干涉儀的幾何結構。
•法布里-珀羅標準具可用來產生單模雷射。在沒有標準具的情況下,雷射器產生的雷射頻譜會出現展寬,從而使諧振腔內的雷射產生多種模式。使用標準具後,在精細度及自由光譜範圍都適當的情形下可以抑制其他模式的產生,使諧振腔內的雷射工作在單模情形下。
•在光譜學中法布里-珀羅標準具可以使光譜儀的分辨本領得到顯著提升,從而可以分辨出波長差極細微的光譜線,例如塞曼效應。
•在天文學中法布里-珀羅標準具可以用來作為一種窄頻濾鏡,從原子躍遷的多條譜線中過濾出所需的譜線並使之成像,最常見的例子是太陽的H-α線以及Ca-K線。
•在引力波探測中,採用法布里-珀羅諧振腔可以用來在毫秒量級的時間上儲存光子,使其在諧振腔的反射鏡之間反覆振盪。這種做法增加了引力波探測器的干涉臂的有效長度,從而提高了引力波探測器的靈敏度。這種原理被廣泛套用在引力波探測器如LIGO和VIRGO上,它們的構造都是帶有法布里-珀羅諧振腔的等臂邁克耳孫干涉儀,干涉臂長度在幾千米的量級。同時這些探測器還採用了小型的諧振腔,這些諧振腔通常被稱作模式過濾器,它們可用於參與主雷射的頻率穩定工作。
•在雷射穩頻中,法布里-珀羅諧振腔使用低膨脹係數的玻璃,具有穩定的光學長度,用來作為頻率穩定的參考。
