

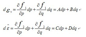
在e-lnp 曲線上得到一組近似互相平行的直線,則得到f1的函式形式:



"因而函式f1與F2的確定是關鍵問題。 f2用p為常數不同的三周壓縮試驗來確定: 其中,a




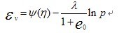
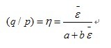
沈珠江三重屈服面模型是沈珠1984年根據多重屈服面的概念提出的具有三重屈服面的土的本構模型。應力空間中的一點,存在三個屈服面,分別為壓縮屈服面,剪下屈服...
簡介 有關術語 土的本構模型沈珠江(1933.1.25-2006.10.2),浙江慈谿人,岩土工程專家、中國科學院院士。 1953年業於華東水利學院(今河海大學),1960年獲莫斯...
人物生平 主要成就 社會任職 獲獎記錄 人物評價又稱材料的力學本構方程,或材料的應力-應變模型。描述材料的力學特性 (應力-應變-強度-時間關係)的數學表達式。材料的應力-應變關係是很複雜的,具有非線...
定義 分類 本構關係 基本原理 舉例鄧肯-張模型是指鄧肯等人根據雙曲線應力應變關係提出的增量彈性模型。 目前描述土的應力-應變關係的數學模型有很多種,包括彈性和彈塑性兩大類。非線性彈性模型...
提出過程 研究現狀 鄧肯—張模型中E—B的模型簡介 局限性 套用彈性模型為研究試驗對象在彈性階段的應力和變形狀態而設計和製作的模型或應力-應變關係曲線為斜直線的本構模型。這種模型的設計和製作比較簡單,只要模型的幾何尺...
簡介 本構關係 類型土木工程(岩土工程)博士學位,導師是沈珠江院士;2009年8月-2011年...完成。(項目負責人:沈珠江院士) ;(10)“岩土材料碎化過程的數值模擬”(10272062),國家自然科學基金,已完成;(項目負責人:沈珠江...
人物經歷 研究領域 主要著作 主要課程 學術兼職自然科學一等獎。獲得1995年度國家傑出青年基金資助,取得高濃度兩相流模型、顆粒流本構模型、土石流動力學模型等方面的成果,獲得2001年度中國高校...研究基金資助,建立了黃河流域數字流域模型。承擔973項目“黃河流域水資源...
基本簡介 科研團隊 科學研究 研究領域 科研成果與水文計算河流泥沙計算地下水模型水面蒸發模型和水質模型水文實驗和研究...式刻划水尺,稱水則或水志。宋代設立刻划水尺的地點很多。圖1為明代沈...
基本信息 萌芽時期方法。構建了具有物理機制的水循環全過程模擬模型,描述現代環境下流域水資源...機理,創建了流域生態水文全過程模擬模型,實現流域生態需水過程的精準化...城市水文模型構建了“內澇積水、產污積污、雨水控用”三大診斷方法,科學歸納...
人物履歷 團體任職 學術成就 主要業績 榮譽稱號