定義
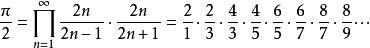
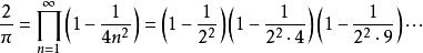
數學家約翰·沃利斯在1655年寫下了今日有名的 沃利斯乘積
沃利斯乘積當時證明
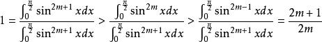
今日多數的微積分教科書透過比較{\displaystyle \int _{0}^{\pi }\sin ^{n}xdx}在 n是奇數或是偶數,甚至是接近無窮大的情況下,發現即使將 n增加一就會發生不一樣的情形。在那時,微積分尚未存在,而且有關數學收斂的分析工具也還未俱全,所以完成這證明較現今有相當的難度。從現在來看,從歐拉公式中的正弦展開式得到此乘積是必然的結果。
沃利斯乘積在 x= π/2時
沃利斯乘積嚴謹證明
先考慮不定積分{\displaystyle \int \sin ^{n}xdx}有
沃利斯乘積故
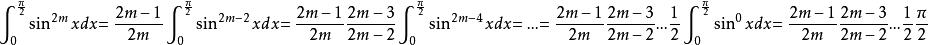
沃利斯乘積對整數m
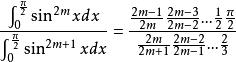
沃利斯乘積另一方面
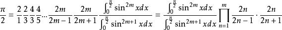
沃利斯乘積兩式相除得
沃利斯乘積故
沃利斯乘積又因為
沃利斯乘積由夾擠定理知
沃利斯乘積故
沃利斯乘積尋找 ζ(2)
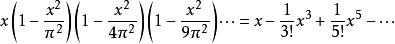
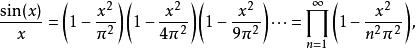
我們可將上述的正弦乘積式化為泰勒級數:
沃利斯乘積