基本介紹
我們知道,多項式f(x)除以x-a的餘數內零,那么,f(x)就能被x-a整除,即x-a就是f(x)的一個因式,反之,亦成立,因此,由余數定理易得如下著名定理 。
因式定理 如果f(a)=0,那么,(x-a)是f(x)的一個因式、反之,如果(x-a)是f(x)的一個因式,那么,f(a)=0,這裡f(a)表x=a時,f(x)的值。
這個定理給出了求多項式的一次因式的一個辦法——求根分解法、即只要a是f(x)的一個根(f(x)的根即指方程f(x)=0的根),則(x-a)就是f(x)的一個因式。如何求f(x)=0的根呢?當f(x)的次數大於2時,求f(x)=0的根也不是一件容易的事(中學教材里只講求一元一次、二次方程的根),下面介紹一個定理可幫助我們部分解決這個問題。
定理: 如果整係數多項式
求根分解法
求根分解法
求根分解法有因式px-q,即有有理數根 (p、q是互質整數),那么p一定是首項係數a的約數,q一定是常數項 的約數。
求根分解法這個定理不但為我們找這類方程的根提供了理論依據,而且大大縮小了找根的範圍,例如,要求 的根,我們只需去判定8的約數±1,±2,±4,±8是否是根就行了(不會再有其他有理數根出現),,經試算知,f(±1)=0,f(2)=0,f(-4)=0,所以,f(x)=0有四個根x=±1,2,-4,從而有因式分解:
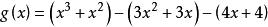
求根分解法例題解析
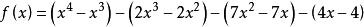
求根分解法【例1】分解因式 。
法1 ∵4的約數有±1,±2,±4,試算知f(±1)=0,f(4)=0,
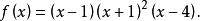
∴f(x)有因式(x-1)(x+1)(x-4)(=x³-4x²-x+4),再用長除法知f(x)÷(x³-4x²-x+4)=(x+1),故
求根分解法法2 ∵ f(1)=0,則知 f(x)有因式(x-1),於是我們可以按此要求(即可提一個公因式(x-1))來拆項、分組,有
求根分解法
求根分解法
求根分解法令 ,有g(-1)=0,於是g(x)有因式(x+1),按此要求又來折項、分組,得
求根分解法
求根分解法
求根分解法∴
由此解法可知,拆項、分組的原則是“求根分解法”.它使拆項、分組方法有了“規律”。
由法1、法2、結合“根”、“長除法”、“綜合除法”、“拆項分組”、可以演変出多種不同的分解形式,這裡就不一一列舉。
在求根時,要特別注意±1是否是根:①如果多項式f(x)中各項係數之和等於零,則1是f(x)的根;②如果f(x)的奇次項係數之和等於偶次項係數之和,則-1是f(x)的根,這兩個結論常用,要記住 。

