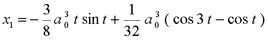
非線性解析解法中,如攝動法、諧波平衡法等,在漸近解中含有與時間 t 成正比的項t ,稱為永年項,如方程中的tsint。還可以稱為久期項
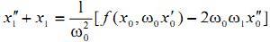
例如,在非線性振動解析解求解方法改進林斯特—龐加萊(改進L-P)法中:
永年[永年項]這個方程具有周期解的條件是其右端不包含其頻率與方程的固有頻率相等的項,從力學意義上,頻率相等的項會引起共振,即出現久期項(永年項)
![永年[永年項] 永年[永年項]](/img/8/a1a/nBnauM3XzMDO4gTNxAzN5IDN0UTMyITNykTO0EDMwAjMwUzLwczL3YzLt92YucmbvRWdo5Cd0FmL0E2LvoDc0RHa.jpg)
非線性解析解法中,如攝動法、諧波平衡法等,在漸近解中含有與時間 t 成正比的項t ,稱為永年項,如方程中的tsint。還可以稱為久期項
非線性解析解法中,如攝動法、諧波平衡法等,在漸近解中含有與時間 t 成正比的項t ,稱為永年項,如方程中的tsint。還可以稱為久期項
例如,在非線性振動解析解求解方法改進林斯特—龐加萊(改進L-P)法中:
永年[永年項]這個方程具有周期解的條件是其右端不包含其頻率與方程的固有頻率相等的項,從力學意義上,頻率相等的項會引起共振,即出現久期項(永年項)
永年明山距永年縣城西行十餘里,是一座孤峰突兀而起,山勢峻拔,形如臥象,山底面積一平方公里。洺水北繞,蜿蜒如帶。東有豬山、狗山、兔山諸峰逶迤相望。沿著彎彎...
歷史記載 昭惠王祠 交通 平乾八景永年洺山,別稱是聰明山,山底面積一平方公里。
江蘇永年雷射成形技術有限公司成立於2012年,註冊資金2500萬元位於崑山市國家級高新技術產業開發區,是一家年輕但研發實力雄厚的高新技術企業,主要從事快...
顏永年教授 產品苗莊村位於邯鄲市永年區東部,全村1860口人,現有耕地650畝,隸屬邯鄲市永年區臨名關鎮。近年來,該村經濟建設有了長足發展,但公益事業發展滯後。街道坑坑...
簡介 建築設施演員表 《愛在有情天》全體演員主演:馬景濤飾沈悠然 陳秀雯飾阮曼清 馬蘇飾孫秀冬李香琴飾孫二奶奶劇情簡介故事的主人公叫...
演員表 劇情簡介 劇中人物 分集劇情 劇情詳解,她們在一次選美項目中成為好友,在開始時,她們各有自己的目標和理想... 分集劇情第1集方雪明回國,來到母親孫萍和現任老公郭永年的住處,但是因為對母親當年貪慕虛榮而背叛父親的事情耿耿於懷,與郭永年夫婦相處不愉快...
劇情簡介 演職員表 分集劇情 角色介紹 相關評論,她們在一次選美項目中成為好友,在開始時,她們各有自己的目標和理想... 分集劇情第1集方雪明回國,來到母親孫萍和現任老公郭永年的住處,但是因為對母親當年貪慕虛榮而背叛父親的事情耿耿於懷,與郭永年夫婦相處不愉快...
劇情簡介 演職員表 分集劇情 角色介紹 相關評論影片名稱 愛在有情天 愛在有情天 主創人員 出品人:李 耀余統浩導 演:李慧珠 蔡興平編 劇:陳十三製片主任:殷國維 ...
劇情簡介 分集劇情 演職員表 角色介紹 音樂原聲劇情簡介 影視愛在有情天 劇照 故事發生在日寇侵華前夕,一段平靜中隱伏著萬丈波瀾的時空,這時候,中國人的封建思想已走到了盡頭,在...
劇情簡介 分集劇情 演職員表 角色介紹 音樂原聲