釋義
對水體中污染物進行統計和歸納,以數值的形式綜合反映水體污染程度。該指數主要用於對不同時間和地點的水污染情況進行比較,也可作為水污染分類和定級的依據。
水污染指數評價法
水污染指數評價法是環境質量現狀評價的主要方法,雖然它的研究較空氣污染指數評價法稍遲一些,但自20世紀60年代以來,國內外不斷有文獻進行討論,近年來已發展有幾十種,大體可分為兩種類型,即單污染指數評價法和綜合污染指數評價法 。
單污染指數評價法
該法只用一個參數作為評價指標,簡單明了,可直接了解水質狀況與評價標準之間的關係。其表達式為:
水污染指數式中 P——水質評價參數i在第j點上的污染指數;
C——水質評價參數i在第j點上的監測濃度,mg/L;
S——水質評價參數i的評價標準,mg/L。
若某水質評價參數的污染指數P >1,表明該水質評價參數在j點上超過了規定的水質標準,已不能滿足使用要求。因此,水污染指數評價法能客觀地反映水體的污染程度,可清晰地判斷出主要污染物、主要污染時段和水體的主要污染區域,能較完整地提供監測水域的時空污染變化,反映污染歷史。
綜合污染指數評價法
該法是目前我國主要採用的水質評價法,它選擇多項評價參數進行水質的綜合評價。現介紹國內外常用的幾種指數。
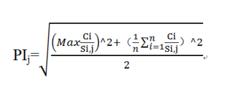
1.內梅羅河水污染指數
內梅羅建議的水污染指數的形式如下:
水污染指數式中 PI——j種用途水的水污染指數,mg/L;
S——水質評價參數(污染物)i的J種用途水的水質評價標準,mg/L;
C——水質評價參數i的實測濃度,mg/L;
n——水質評價參數的項目數。
內梅羅建議選取以下14項作為計算水污染指數的評價參數,即溫度、顏色、透明度、pH值、大腸桿菌數、總溶解固體、懸浮固體、總氮、鹼度、氯、鐵、錳、硫酸鹽、溶解氧。並將水的用途分為三類。
①人類接觸使用的(PI),包括飲用、游泳、製造飲料等;
②間接接觸使用的(PI),包括養魚、工業食品製備、農業用等;
③不接觸使用的(PI),包括工業冷卻用、公共娛樂及航運等。
內梅羅根據水的不同用途,擬定了相應的水質評價標準作為計算水污染指數的依據,進而計算出各種不同用途水的水污染指數值。
內梅羅水污染指數考慮了各種污染物的平均水平、污染濃度最大的污染物污染水平及水的用途這三方面因素,指數形式的設計比較合理。
為了表明各種用途用水的總水質指數,內梅羅建議根據PI 、PI、PI求和計算PI值。這裡首先需要確定該水體在利用中不同用途占的份額(即權係數),分別以W、W、W代表,這樣,總水質指數用下式計算:
PI=PIW+PIW+PIW
式中 PI一總水質指數;
W,W,W——各種用途用水的權係數。
2. 有機污染綜合評價指數
我國環境科學工作者鑒於上海地區黃浦江等河流的水質受有機污染的問題比較突出,對此進行了一系列研究,在此基礎上提出了有機污染綜合評價值A,其定義為:
水污染指數式中 A——有機污染綜合指數;
BOD、BOD——分別為BOD的實測值和評價標準值,mg/L;
COD、COD——分別為COD的實測值和評價標準值,mg/L;
(NH-N)、(NH-N)——分別為NH-N的實測值和評價標準值,mg/L;
DO、DO——分別為DO的實測值和評價標準值,mg/L。
該指數根據有機污染為主的情況,評價參數只選了代表有機物污染狀況的4項,其中溶解氧項前面的負號表示它對水質的影響與上三項污染物相反(溶解氧不能理解為污染物質)。
有機污染綜合評價指數A可以綜合地評價水質受到有機物污染的情況,實際工作證明,在受有機污染嚴重的河段是適用的。但各項標準值的規定要根據當地具體情況酌情確定,切不可盲目選取。
3.羅斯水質指數從理論上講,水質指數可以選用任何評價參數的指標來計算,但評價參數數量過多,會使水質指數的使用變得複雜。英國人羅斯在總結以前的水質指數的基礎上,提出了一種較為簡單的水質指數計算方法。
羅斯在常規監測的12個參數中選取了4個參數作為計算河流水質指數的評價參數。這4個參數是BOD、NH-N、DO和懸浮固體,並對這4個參數分別給予不同的權重係數,見表。同時按表所示的參數分級值,給每個評價參數打分。
水污染指數
水污染指數在計算水質指數時,先根據各參數的實測濃度值查表,得出各參數的分級值,再按下式計算:
水污染指數式中:WQI——羅斯水質指數
