簡介
向芳環上直接導入一個氯甲基的反應稱為氯甲基化反應。利用苯的氯甲基化反應可製備苄氯,也可將該反應看作一類特殊的傅-克反應。和普通的親電取代反應一樣,當芳環上有第一類取代基(給電子基團)時,反應易 於進行,氯甲基主要進入對位。例如:
Ph—CH +HC═O +HCl —→CH—Ph—CHCl 反應條件:ZnCl
當芳環上有第二類取代基(吸電子基團)時,反應難以進行,一般不發生氯甲基化。但如果用CH—O—CHCI作氯甲基化試劑,反應也可以進行。
萘可以發生類似的反應,氯甲基主要進人萘環α-位。
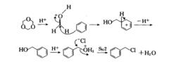
反應機理
芳烴及其衍生物在ZnCI存在下與氯甲基化試劑(聚甲醛和氯化氫)作用,芳環上引入氯甲基的反應稱為Blanc氯甲基化反應。三聚甲醛-氯化氫、多聚甲醛-氯化氫、甲醛縮二甲醇-氯化氫或甲基氯、氯甲基醚等也是常用的氯甲基化試劑。鹽酸、硫酸、磷酸、乙酸等質子酸,氯化鋁、氯化錫等Lewis酸也是有效的催化劑。
反應機理芳環上有烷基、烷氧基等供電子基時有利於反應的進行。但具有多個供電子基的芳烴衍生物往往生成二氯甲基化的副產物。此時最好不加催化劑使反應緩慢進行,以抑制該副產物的生成。酚類、胺類化合物由於具有強供電子基,極易發生此反應,此時若芳環上沒有其他鈍化基團,往往生成聚合物。因而通常在不加催化劑和降低反應溫度的條件下進行,以得到正常產物。芳環上有鹵原子、硝基、羧基等吸電子基時會降低產率,其至使反應不能進行。活性較小的化合物常用甲基氯甲基醚、二氯甲基醚或1-氯-4 -(氯甲氧基)丁烷等進行氯甲基化。
影響因素
研究苯乙烯聚合物的氯甲基化反應速度,副交聯反應,以及溶劑對反應的影響問題。研究表明,在用氯化鋅作催化劑時,反應速率可用一級反應方程表示,比用無水三氯化鋁和氯化亞錫作催化劑時的反應速率慢得多,但副交聯反應也較少。用無水三氯化鋁和氯化亞錫作催化劑時,反應初期也是一級反應,而後就逐漸偏離一級反應規律,若往反應體系中加入二氯乙烷,反應速率下降,而副交聯反應速率升高。若以三氯化鋁、三氧化二鐵、四氯化錫或二氯化錫作催化劑,以二甲基甲醛、磺醯氯和氯磺酸的混合物和苯乙烯聚合體反應,可使氯甲基化反應和副交聯反應同時進行祁們。而利用低交聯苯乙烯—二乙烯苯共聚體在氯甲基化過程中的副交聯反應,可以獲得副交聯鍵分布均勻的交聯共聚體,這種共聚體就是合成均孔離子交換樹脂的骨架。
反應試劑在共聚體中的滲透擴散速率對氯甲基化反應速率影響同樣也很大,因此,擴大凝膠孔結構和大孔結構共聚體都比較容易進行氯甲基化反應,如與長鏈交聯劑共聚的苯乙烯共聚體,引入23~25%的氯也是比較容易的。
套用示例
在無水ZnCl存在下,被氯化物與甲醛混合物通入HCI完成:
CH+HCHO +HCl —→CHCHCI +HO 反應條件:無水ZnCI
生成的-—CHCl衍生物經水解、氧化反應可生成—COOH衍生物,再與三氯化磷反應可轉變為羧醯氯衍生物,進一步與胺類化合物反應生成羧醯胺衍生物。
由於氯甲基在一定條件下可進一步轉化為—CHOH,—CHO,—CHCN,—CHNH及—CH等基團,故此反應廣泛套用於有機合成中。
套用反應式