基本含義
氣體氣體有實際氣體和理想氣體之分。理想氣體被假設為氣體分子之間沒有相互作用力,氣體分子自身沒有體積,當實際氣體壓力不大,分子之間的平均距離很大,氣體分子本身的體積可以忽略不計,溫度又不低,導致分子的平均動能較大,分子之間的吸引力相比之下可以忽略不計,實際氣體的行為就十分接近理想氣體的行為,可當作理想氣體來處理。以下內容中討論的全部為理想氣體,但不應忘記,實際氣體與之有差別,用理想氣體討論得到的結論只適用於壓力不高,溫度不低的實際氣體。
氣體性質
氣體的密度
| 氣體的密度 (單位:10千克/米) | |||||
| 名稱 | 0℃,標準大氣壓下,密度 | 液態時密度 | 固體時 | ||
| 溫度℃ | 密度 | 溫度℃ | 密度 | ||
| 氫 | 0. 00009 | -252. 8 | 0. 0708 | -262 | 0. 0808 |
| 氮 | 0. 00125 | -195. 8 | 0. 805 | -252. 5 | 1. 026 |
| 氧 | 0. 00143 | -183 | 1. 14 | -252. 5 | 1. 426 |
| 氟 | 0. 001696 | -181 | 1. 11 | -223 | 1. 3 |
| 氬 | 0. 00178 | -185. 7 | 1. 402 | -233 | 1. 65 |
| 臭氧(O3) | 0. 00214 | -183 | 1. 71 | ||
| 氨 | 0. 00077 | -34. 1 | 1. 557 | -102 | 約1. 9 |
| 名稱 | 0℃,標準大氣壓,密度 | 名稱 | 0℃,標準大氣壓,密度 | 名稱 | 0℃,標準大氣壓,密度 |
| 煤氣 | 0. 00060 | 一氧化碳 | 0. 00125 | 氯 | 0. 00321 |
| 溴 | 0. 00714 | 空氣 | 0. 00129 | 氯化氫 | 0. 00164 |
| 甲烷 | 0. 00078 | 氧化氮 | 0. 00134 | 硫化氫 | 0. 00154 |
| 乙炔 | 0. 00117 | 乙烷 | 0. 00136 | 二氧化碳 | 0. 00198 |
常見氣體的粘度、密度值
常見氣體的粘度、密度值總結如下表(常溫:25℃,常壓)
| 物質 | 英文名 | 密度 | 動力粘度 | 運動粘度 |
| kg/m | μPa·s | mm/s | ||
| 空氣 | air | 1.169 | 18.448 | 15.787 |
| 氨氣 | ammonia | 0.694 | 10.093 | 14.539 |
| 氬 | argon | 1.613 | 22.624 | 14.03 |
| 丁烷 | butane | 2.416 | 7.406 | 3.065 |
| 丁烯 | 1- butene | 2.327 | 8.163 | 3.507 |
| 二氧化碳 | carbon dioxide | 1.784 | 14.932 | 8.369 |
| 一氧化碳 | carbon monoxide | 1.13 | 17.649 | 15.614 |
| 二甲醚 | dimethyl ether | 1.895 | 9.1 | 4.801 |
| 乙烷 | ethane | 1.222 | 9.354 | 7.654 |
| 乙烯 | ethylene (ethane) | 1.138 | 10.318 | 9.066 |
| 氫 | hydrogen | 0.081 | 8.915 | 109.69 |
| 氫化硫 | hydrogen sulfide | 1.385 | 12.387 | 8.942 |
| 異丁烷 | isobutane | 2.407 | 7.498 | 3.115 |
| 異丁烯 | isobutene | 2.327 | 8.085 | 3.474 |
| 氪 | krypton | 3.387 | 25.132 | 7.419 |
| 甲烷 | methane | 0.648 | 11.067 | 17.071 |
| 氖 | neon | 0.814 | 31.113 | 38.239 |
| 新戊烷 | neopentane | 3.021 | 7.259 | 2.403 |
| 氮 | nitrogen | 1.13 | 17.805 | 15.753 |
| 一氧化二氮 | nitrous oxide | 1.785 | 14.841 | 8.314 |
| 氧 | oxygen | 1.292 | 20.55 | 15.91 |
| 仲氫 | parahydrogen | 0.081 | 8.915 | 109.69 |
| 丙烷 | propane | 1.808 | 8.146 | 4.507 |
| 丙烯 | propylene | 1.722 | 8.56 | 4.971 |
| R11 | 5.744 | 10.162 | 1.769 | |
| R114 | 7.109 | 10.807 | 1.52 | |
| R115 | 6.347 | 12.515 | 1.972 | |
| R116 | 5.626 | 14.148 | 2.515 | |
| R12 | 4.971 | 11.807 | 2.375 | |
| R124 | 5.651 | 11.593 | 2.051 | |
| R125 | 4.915 | 12.962 | 2.637 | |
| R13 | 4.252 | 14.362 | 3.378 | |
| R134a | 4.201 | 11.819 | 2.813 | |
| R14 | 3.563 | 17.244 | 4.839 | |
| R142b | 4.16 | 10.421 | 2.505 | |
| R143a | 3.448 | 11.087 | 3.215 | |
| R152a | 2.722 | 10.081 | 3.704 | |
| R218 | 7.748 | 12.49 | 1.612 | |
| R22 | 3.539 | 12.631 | 3.569 | |
| R227ea | 7.05 | 11.591 | 1.644 | |
| R23 | 2.846 | 14.913 | 5.24 | |
| R236ea | 6.354 | 10.897 | 1.715 | |
| R236fa | 6.332 | 10.96 | 1.731 | |
| R245ca | 5.661 | 10.117 | 1.787 | |
| R245fa | 5.639 | 10.303 | 1.827 | |
| R32 | 2.125 | 12.613 | 5.937 | |
| R41 | 1.384 | 10.955 | 7.913 | |
| RC318 | 8.315 | 11.505 | 1.384 | |
| 反丁烯二酸 | trans-2-butene | 2.334 | 8.028 | 3.44 |
| 二氯碘甲烷 | trifluoroiodomethane | 8.082 | 14.277 | 1.767 |
| 氙 | xenon | 5.324 | 22.984 | 4.317 |
理想氣體方程
理想氣體為假想的氣體。其特性為:
氣體分子間無作用力;氣體分子本身不占有體積;氣體分子與容器器壁間發生完全彈性碰撞。真實氣體在愈低壓、愈高溫的狀態,性質愈接近理想氣體。最接近理想氣體的氣體為氦氣。
pV=nRT
遵從理想氣體狀態方程是理想氣體的基本特徵。理想氣體狀態方程里有四個變數——氣體的壓力p、氣體的體積V、氣體的物質的量n以及溫度T和一個常量(R為普適氣體恆量,也叫通用氣體常數),只要其中三個變數確定,理想氣體就處於一個狀態,因而該方程叫做理想氣體狀態方程。溫度T和物質的量n的單位是固定不變的,分別為K和mol,而氣體的壓力p和體積V的單位卻有多種取法,這時,狀態方程中的常量R的取值(包括單位)也就跟著改變,在進行運算時,千萬要注意正確取用R值:
壓強(p)的單位 體積(V)的單位 R的取值(包括單位)
標準大氣壓(atm) 升(L) 0.08206L·atm/mol·K
標準大氣壓(atm) 立方厘米(cm) 82.06cm·atm/mol·K
帕斯卡(Pa) 升(L) 0.008314L·Pa/mol·K
千帕(kPa) 升(L) 8.314L·kPa/mol·K
帕斯卡(Pa) 立方米(m) 8.314m·Pa/mol·K
1 atm=101.325kN/m;1Pa=1N/ m;1N·m=1J;當各種物理量均採用國際單位(SI)時,R=8.314J/mol·K
例:
由此我們可以計算理想氣體在標準狀況下的體積
解:
由 pV=nRT得:
V=n·R·t/p
=1mol·8.314L·Pa/mol·K·273.16K/101325Pa
=22.41272L
分壓定律
1810年道爾頓發現,混合氣體的總壓等於把各組分氣體對濃度置於同一容器里所產生的壓力之和。這個規律稱為道爾頓分壓定律。其實,道爾頓分壓定律只對理想氣體才成立,對於實際氣體,由於分子間作用力的存在,道爾頓定律將出現偏差。因此,能滿足道爾頓分壓定律的氣體混合物稱為理想氣體的理想混合物。
國家測量局頒布的GB102.8—82採納IUPAC的推薦,規定混合氣體中的氣體B的分壓p的定義為
p=xp
式中x為氣體B的摩爾分數,p為混合氣體在同溫度下的總壓。於是我們又可以得到:
p=p +p +p +p +……+p+p =∑p=∑xp
上式表明,混合氣體的總壓等於同溫度下其組分氣體的分壓之和,此式可用於任何混合氣體。
對於理想氣體,將pV=nRT
可見分壓p是理想氣體B單獨占有混合氣體的體積V時顯示的壓力。
例:
混合氣體中有4.4gCO,14gN,和12.8gO,總壓為2.026×105Pa,求各組分氣體的分壓。
解:
先求出各組分氣體的物質的量分數(摩爾分數),代入上式即可得各組分氣體的分壓
n(CO)=4.4g/44g/mol=0.10mol
n(N)=14g/28g/mol=0.50mol
n(O)=12.8g/32g/mol=0.40mol
x(CO)=n(CO)/[n(CO)+ n(N)+ n(O)]=0.10
x(N)=n(N)/[n(CO)+ n(N)+ n(O)]=0.50
x(O)=n(O)/[n(CO)+ n(N)+ n(O)]=0.40
p(CO)=0.10×2.026×10Pa=2.0×10Pa
p(N)=0.50×2.026×10Pa=1.0×10Pa
p(O)=0.40×2.026×10Pa=8.1×10Pa
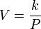
波馬定律
波義耳-馬略特定律是指在一定溫度下,氣體體積和其壓強成反比。這可用以下公式表達:
氣體[物質狀態]這裡V 是指氣體的體積,P 指壓強,k 為一常數。
查理定律
查理定律是指當壓力保持固定時,氣體體積與其溫度成正比。即是氣體溫度一增加,其體積也隨之而增大。其數學表達式為:
氣體[物質狀態]這裡V 是指氣體的體積,T 指溫度,單位為絕對溫標 開爾文(K)
有毒氣體
氯氣
氯氣(Cl2)①顏色\氣味\狀態:通常情況下為有刺激性氣味的黃綠色的氣體。
②密度:比空氣密度大,標況時是71/22.4=3.17g/L。
③易液化。熔沸點較低,壓強為101kPa、溫度為-34.6℃時易液化。液態氯為金黃色。如果將溫度繼續冷卻到-101℃時,液氯變成固態氯。
④溶解性:易溶於有機溶劑,難溶於飽和食鹽水。1體積水在常溫下可溶解2體積氯氣,形成氯水,產生的次氯酸具有漂白性,可使蛋白質變質,且見光易分解為氯化氫。
氟氣
氟氣
氟氣是一種極具腐蝕性的淡黃色雙原子氣體。氟是電負度最強的元素,也是很強的氧化劑。在常溫下,它幾乎能和所有的元素化合,並產生大量的熱能,在所有的元素中,要算氟最活潑了。
氟氣圖片氟氣(F2)是淡黃色的氣體,有特殊難聞的臭味,劇毒。在-188℃以下,凝成黃色的液體。在-223℃變成黃色 結晶體。在常溫下,氟幾乎能和所有的元素化合:大多數金屬都會被氟腐蝕,鹼金屬在氟氣中會燃燒,甚至連黃金在受熱後,也能在氟氣中燃燒!許多非金屬,如矽、磷、硫等同樣也會在氟氣中燃燒。如果把氟通入水中,它會把水中的氫奪走,放出原子氧(2F2+2H20=4HF+O2↑)。例外的只有鉑,在常溫下不會被氟腐蝕(高溫時仍被腐蝕),因此,在用電解法製造氟時,便用鉑作電極。
在原子能工業上,氟有著重要的用途:人們用氟從鈾礦中提取鈾235,因為鈾和氟的化合物很易揮發,用分餾法可以把它和其它雜質分開,得到十分純淨的鈾235。鈾235是製造核子彈的原料。在鈾的所有化合物中,只有氟化物具有很好的揮發性能。
氟最重要的化合物是氟化氫。氟化氫很易溶解於水,水溶液叫氫氟酸,這正如氯化氫的水溶液叫氫氯酸(俗名叫鹽酸)一樣。氫氟酸都是裝在聚乙烯塑膠瓶里的。如果裝在玻璃瓶里的話,過一會兒,整個玻璃瓶都會被它溶解掉——因為它能強烈地腐蝕玻璃(4HF+SiO2=SiF4+2H20)。人們便利用它的這一特性,先在玻璃上塗一層石蠟,再用刀子劃破蠟層刻成花紋,塗上氫氟酸。過了一會兒,洗去殘餘的氫氟酸,刮掉蠟層,玻璃上便出現美麗的花紋。玻璃杯上的刻花、玻璃儀器上的刻度,都是用氫氟酸“刻”成的。由於氫氟酸會強烈腐蝕玻璃,所以在製造氫氟酸時不能使用玻璃的設備,而必須在鉛制設備中進行。
在工業上,氟化氫大量被用來製造聚四氟乙烯塑膠。聚四氟乙烯號稱“塑膠之王”,具有極好的耐腐蝕性能,即使是浸在王水中,也不會被侵蝕。它又耐250℃以上的高溫和-269.3℃以下的低溫。在原子能工業、半導體工業、超低溫研究和宇宙火箭等尖端科學技術中,有著重要的套用。我國在1965年已試製成功“聚四氟乙烯”。聚四氟乙烯的表面非常光滑,滴水不沾。人們用它來製造自來水筆的筆尖,吸完墨水後,不必再用紙來擦淨墨水,因為它表面上一點墨水也不沾。氟化氫也被用來氟化一些有機化合物。著名的冷凍劑“氟利昂”,便是氟與碳、氯的化合物。在釀酒工業上,人們用氫氟酸殺死一些對發酵有害的細菌。
氫氟酸的鹽類,如氟化鍶、氟化鈉、氟化亞錫等,對乳酸桿菌有顯著的抑制能力,被用來製造防齲牙膏。常見的“氟化鍶”牙膏,便含有大約千分之一的氟化鍶。
在大自然中,氟的分布很廣,約占地殼總重量的萬分之二。最重要的氟礦是螢石——氟化鈣。螢石很漂亮,有玻璃般的光澤,正方塊狀,隨著所含的雜質不同,有淡黃、淺綠、淡藍、紫、黑、紅等色。我國在古代便已知道螢石了,並用它製作裝飾品。螢石大量被用來製造氟化氫和氟。在煉鋁工業上,也消耗大量的螢石,因為用電解法制鋁時,加入冰晶石(較純的氟化鈣晶體)可降低氧化鋁的熔點。天然的冰晶石很少,要用螢石作原料來製造。除了螢石外,磷灰石中也含有3%的氟。土壤中約平均含氟萬分之二,海水中含氟約一千萬分之一。
在人體中,氟主要集中在骨骼和牙齒。特別是牙齒,含氟達萬分之二。牡蠣殼的含氟量約比海水含氟量高二十倍。植物體也含氟,尤其是蔥和豆類含氟最多。
溴蒸汽
參見溴
碘蒸汽
參見碘
一氧化碳
參見一氧化碳
二氧化氮
參見二氧化氮
二氧化硫
參見二氧化硫
汞蒸氣
參見汞
氰氣(CN)2
氰,也稱氰氣,化學式為(CN)2,是碳和氮的化合物(N≡C—C≡N)。
氰在標準狀況下是無色氣體,帶苦杏仁氣味,極毒。燃燒時呈桃紅色火焰,邊緣側帶藍色。氰溶於水、乙醇、乙醚。
氰的化學性質與鹵素很相似,是擬鹵素(或類鹵素)的一種。氰氣會被還原為毒性極強的氰化物。氰在高溫下與氫氣反應生成氰化氫。與氫氧化鉀反應生成氰化鉀和氰酸鉀。氰加熱至400℃以上聚合成不溶性的白色固體(CN)x。
氰可由加熱氰化汞或氰化鉀溶液慢慢滴入硫酸銅溶液中製得。
氰可用於有機合成,也用作消毒、殺蟲的熏蒸劑。
氰化氫
氰化氫(HCN)是一種無色氣體,極毒,帶有淡淡的苦杏仁味。有趣的是,有四成人根本就聞不到它的味道,僅僅因為缺少相應的基因。氰化鉀和氰化鈉都是無色晶體,在潮濕的空氣中,水解產生氫氰酸而具有苦杏仁味。
氟化氫
參見氫氟酸
有色氣體
氯氣(Cl2)
1.顏色\氣味\狀態:通常情況下為有強烈刺激性氣味的黃綠色的有毒氣體。
2.密度:氯氣密度是空氣密度的2.5倍,標況下ρ=3.21kg/m³
3.易液化。熔沸點較低,常溫常壓下,熔點為-101.00°C,沸點-34.05°C,常溫下把氯氣加壓至600~700kPa或在常壓下冷卻到-34°C都可以使其變成液氯,液氯即Cl2,液氯是一種油狀的液體。其與氯氣物理性質不同,但化學性質基本相同。
4.溶解性:可溶於水,且易溶於有機溶劑(例如:四氯化碳),難溶於飽和食鹽水。1體積水在常溫下可溶解2體積氯氣,形成氯水(通常情況下氯水呈黃綠色),密度為3.170g/L,比空氣密度大。
5.相對分子質量:70.9(71) 2二氧化氮二氧化氮是一種棕紅色、高度活性的氣態物質。化學分子式為NO2,紅棕色氣體。密度1.491,溶點-9.3℃,能溶於水,是一種強氧化劑。在17℃以下經常是兩個分子結合在一起,所以又稱“四氧化二氮或過氧化氮(N2O4)”。
二氧化氮(NO2)
在21.1℃溫度時為棕紅色刺鼻氣體。有毒氣體.密度比空氣大易液化。易溶於水;在21.1℃以下時呈暗褐色液體。在-11℃以下溫度時為無色固體,加壓液體為四氧化二氮。分子量92,熔點-11.2℃,沸點21.2℃,蒸氣壓101.31kPa(21℃),溶於鹼、二硫化碳和氯仿,易溶於水。性質較穩定。二氧化氮不是酸性氧化物。二氧化氮密度比空氣大
氟氣(F2)
氟氣,元素氟的氣體單質,化學式F2,淡黃色,腐蝕性非常強,甚至能與極不活潑的金髮生反應。氟,化學元素,符號F,化學性質十分活潑,具有很強的氧化性。
溴蒸氣(Br2)
溴(拉丁語:Bromum,源於希臘語:βρ?μο?,意為“公山羊的惡臭”,是一個化學元素,元素符號Br,原子序數 35,是一種鹵素。溴分子在標準溫度和壓力下是有揮發性的紅棕色液體,活性介於氯與碘之間。純溴也稱溴素。溴蒸氣具有腐蝕性,並且有毒。顏色與二氧化氮類似為棕色。
碘蒸氣(I)
單質碘呈紫黑色晶體,易升華,升華後易凝華。有毒性和腐蝕性。碘單質遇澱粉會變藍紫色。加熱時,碘升華為紫色蒸汽,這種蒸氣有刺激性臭味,有毒。冷卻後凝華成紫黑色固體,即碘單質。
臭氧(O3)
臭氧是氧的同素異形體,在常溫下,它是一種有特殊臭味的藍色氣體。
三氧化二氮(N2O3)
三氧化二氮,氮的氧化物,一種酸性氧化物,有毒,環境污染物之一,是亞硝酸的酸酐。紅棕色氣體,低溫時為深藍色揮發性液體或藍色固體。其他氣態金屬大部分有色。注意稀有氣體全為無色。
其它相關
一、世界上最輕的氣體 <氫>
1766年,英國的一個百萬富翁叫亨利·卡文迪許(Henry Gavendish)發現一種無色氣體——氫氣。這種氣體比空氣輕14倍,即1立方厘米僅重0.00008989克
二、世界上最重的氣體<六氟化鎢》
事實上,與許多人的信念相反,世界上最重的氣體並不是氡。六氟化鎢在不同的溫度下為一種無色、無嗅的氣體或透明的液體,沸點17.5度,是一種極強的氟化劑。式量大於氡,為298.
三、在水中溶解度最大的氣體<氨>
許多氣體都能夠溶解在水中。但各種氣體在水裡的溶解度是不同的。通常情況下,1體積的水
能夠溶解1體積的二氧化碳。而1體積的水只能溶解1/10體積的氫。氫這種氣體的溶解度可見
很小。相比之下,有些氣體的溶解度比二氧化碳還要強得多。在1個大氣壓和20℃時,1體積
水能溶解2.4體積的硫化氫氣體或2.5體積的氯氣。氨是溶解度最大的氣體。它是一種有刺激性
氣味的氣體,在1個大氣壓和20℃時,1體積水約能溶解700體積氨氣。氨氣的水溶液稱為氨水。
氨水是一種重要的肥料。而氨是現代化工業上最重要的產品之一,可用來製造硝酸、炸藥等,
也可用來製造藥品。氨還有其他一些性質:它容易氣化,氣壓降低,它就可急劇蒸發,同時它
又易液化,在-33℃的情況下,它就會凝結成為無色液體,同時還會釋放出大量的熱。
![氣體[物質狀態] 氣體[物質狀態]](/img/3/fde/nBnauM3X1YzM1AzMxEjN0ETN1UTM1QDN5MjM5ADMwAjMwUzLxYzL2gzLt92YucmbvRWdo5Cd0FmLwE2LvoDc0RHa.jpg)
