影響氣井產能的主要因素
影響氣井產能的相關理論
一口氣井的絕對無阻流量定義為井底壓力等於大氣壓力時的產氣量。確定氣井的絕對無阻流量是氣井產能分析的主要任務之一。無論是新發現的產氣探井或己投產的氣井, 都需要不失時機地了解絕對無阻流量的大小, 以確定氣井的產能。根據氣田開發經驗, 影響氣井產能的因素有很多。本文主要對井底污染、地層滲透率、地層壓力、地層有效厚度、氣井半徑、泄氣半徑、天然氣粘度、硫的沉積、氣層產水等進行研究。
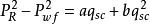
根據氣井的二項式產能方程分析影響氣井產能的主要因素, 是氣井產能分析的一個主要內容, 同時也是研究預測氣井產能模型的基礎性工作, 其結果直接影響到預測模型的準確性、可靠性和科學性。氣井在儲層中的流動方程可以用IPR 曲線的二項式方程來表示:
氣井產能對於乾氣氣藏還可選用ForchheimerA 方程:
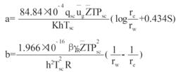
氣井產能式中:
氣井產能—地層氣體粘度, mPa·S;
氣井產能—地層氣體平均偏差係數;
T—氣藏溫度, K;
h—氣層有效厚度, m;
re —供給半徑, m;
rw—井底半徑, m;
β—孔隙介質中的速度係數; m- 1
S—由於鑽井、完井和增產措施造成的表皮係數;
對比上面兩式可知:
氣井產能a 和b 稱為達西流動係數和非達西流動係數。
氣井無阻流量公式為:
氣井產能影響氣井產能的主要因素分析
1、井底污染對氣井產能的影響由前述內容可知, 在氣井的二項式產能方程中, 令:
氣井產能式中:
氣井產能R—通用氣體常數, 它與其它變數的單位有關, 此處R=0.008 314MPa·m /kmol·K。
由上式可知, 二項式係數b 與表皮係數S無關, 當氣井測試至井筒儲集效應結束後b 為一常量。表皮係數僅影響一次項係數a。
2、地層滲透率對氣井產能的影響
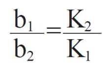
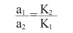
設K1 和K2 對應於不同地層的滲透率。由公式可知, 地層滲透率對氣井產能方程的一項式係數a 和二項式係數b 都有影響。設K1 對應的一次項和二次項係數分別為a1 和b2, 而所對應的一次項和二次項係數分別為a2 和b2。則
氣井產能
氣井產能兩式相除得:
氣井產能同理可得
氣井產能如果K1>K2, 則a1<a2, b1<b2, 由無阻流量計算公式可知qAOF1<qAOF2。即隨著滲透率增加, 氣井產能方程係數變小, 氣井絕對無阻流量增加。
3、地層壓力對氣井產能的影響
從公式可以看出, 在氣井開採過程中若不考慮視表皮係數S 的變化, 隨著地層壓力下降, 影響二項式a 和b 的主要參數有天然氣偏差因子、粘度、氣層滲透率、有效厚度等。通常氣層滲透率、有效厚度隨地層壓力變化的幅度很小, 可以忽略不計, 但天然氣偏差係數及粘度的變化卻不容忽視。W.R.Greene 研究了底層壓力下降對氣井產能及無阻流量的影響, 認為在氣井開採過程中, 底層壓力下降則二項式係數a 和b 主要隨天然氣粘度、壓縮因子的變化而變化。並且下降前後二項式係數a 和b 之比等於壓縮因子與粘度的乘積之比, 即
氣井產能根據天然氣的PVT 特性及計算天然氣壓縮因子、粘度的經驗公式可知, 隨著壓力的減小, 天然氣的粘度逐漸減小。而天然氣偏差因子是一個先減小後增大的過程。隨著壓力的減小, 偏差因子與粘度的乘積逐漸減小, 但減小的幅度越來越小。根據氣井產能方程二項式係數a 和b 隨著地層壓力的下降而逐漸下降。
由氣井無阻流量公式可知: 當地層壓力下降時, q 也隨之下降。
氣井產能試井
氣井產能試井傳統叫做“回壓試井”。氣井產能試井測試計算方法主要包括4種方法,即一點法測試、系統試井、等時試井和修正等時試井。
1.一點法測試
一點法測試是測試一個工作制度下的穩定壓力。該方法的優點是縮短測試時間、減少氣體放空、節約測試費用、降低資源浪費;缺點是測試資料的分析方法帶有一定的經驗性和統計性,分析結果有一定的偏差。經驗表明,利用該方法測試,當測試產量為地層無阻流量的0.36倍時,測試結果最可靠。
2.系統試井
系統試井又稱為常規回壓試井,也稱多點測試,是測量氣井在多個產量生產的情況下,相應的穩定井底流壓。該方法具有資料多,信息量大,分析結果可*的特點。但測試時間長,費用高。
系統試井測試產量的確定:
①最小產量至少應等於井筒中攜液所需要的產量,此外還應該足以使井口溫度達到不生成水化物的溫度;
② 最大產量不能破壞井壁的穩定性,對於凝析氣藏,還要考慮減少地層中兩相流的範圍;
③測試產量必須保持由小到大的順序。
3.等時試井
等時試井測試,首先以一個較小的產量開井,生產一段時間後關井恢復地層壓力,待恢復到地層壓力後,再以一個稍大的產量開井生產相同的時間,然後又關井恢復,如此進行4個工作制度。
最後以—個小的產量生產到穩定。等時試井與系統試井相比,縮短了開井時間,但由於每個工作制度都要求關井恢復到原始壓力,使得關井恢復時間較長,整個測試時間較長,測試費用比較高。
確定等時試井流動時間,—般要求開井生產時間必須大於井筒效應結束的時間,並且要求開井流動結束時,探測半徑必須達到距井30m的範圍,以便在流動期能夠反映地層的特性。
確定每—工作制度下關井時間,要求關井壓力恢復到原始地層壓力,便可進行下—工作制度的測試。最後延續期流動
4.修正等時試井
修正等時試井是等時試井的改進,二者的最大區別是後者開井生產的時間與關井恢復的時間相等。測試時,要求所有工作制度下的開井生產時間和關井恢復時間一樣,操作十分方便,這樣既縮短了開井流動期的時間,又縮短了關井恢復期的時間。修正等時試井流動期產量大小的確定方法與系統試井方法基本相同,測試的最小產量和最大產量分別為0.01和0.75倍的地層無阻流量。
氣井產能遞減規律
在氣田開發過程中,準確預測氣井的產能和分析氣井的動態,並了解氣層及井筒的特性,是科學開發氣田的基礎。研究氣井產能就是為了得到適合氣藏的產能方程,對於指導氣田開發具有至關重要的作用。隨著開發的進行,地層壓力逐漸地降低,產能也逐漸遞減,其遞減特徵就是隨著生產的進行氣井產能的變化規律。因此,可以利用氣井產能的變化規律對未來的產能進行預測,為油田的開採提供一定的理論依據。
1、研究內容
針對不同的氣田,對氣井產能測試和分析方法的適應性進行研究,確定氣井產能分析的理論,對比各個地質特徵和開發特徵不同的氣田,其所得到的方程的係數是否也會不同。
明確氣井產能遞減規律研究的現狀和重要意義,總結和論述產能遞減規律對氣藏開發認識的重要性,確定遞減規律分析方法,利用其研究的遞減規律方法分析典型氣井的遞減規律。
2、進行遞減分析的基本規律
氣井產能目前,遞減規律研究的主要理論依據是J.J.Arps於1945年提出的產量遞減規律方程式,即指數遞減規律、雙曲線遞減規律和調和遞減規律。這三種規律在氣井的產能遞減規律研究和預測工作中得到了廣泛的套用,現將這三種遞減規律的公式列於表1內。
表1中符號的意義:n—遞減指數,無因次量;ai—初始遞減率;Qi—初始遞減時的產量;Qt—t時間的產量;t—時間。
由表1可以看出,當n=1時,雙曲線遞減規律即變為調和遞減規律,因而也可以說調和遞減規律是n=1時的雙曲線遞減規律,或雙曲線的特定變化規律。
在指數遞減規律、雙曲遞減規律和調和遞減規律三種遞減規律中,套用最多的還是雙曲遞減規律,因為指數遞減和調和遞減都是雙曲遞減在特定情況下的一種表達形式,因此雙曲遞減規律更具普遍性。

