農藥名稱
中文名稱 氟烯草酸
中文同義詞:氟烯草酸;[2-氯-5-(環己-1-烯-1,2-二羧醯亞氨基0-4-氟苯氧基]乙酸戊酯;氟胺草酯;利收;氟亞胺草酯;闊氟胺
英文名稱 flumiclorac-pentyl
英文同義詞:SUMIVERDE;RESOURCE;FLUMICLORAC-PENTYL;flumiclorac-pentyl (bsi,pa iso,ansi);PENTYL2-CHLORO-4-FLUORO-5-(3,4,5,6-TETRAHYDROPHTHALIMIDO)PHENOXYACETATE;pentyl-[2-chloro-5-(cyclohex-1-ene-1,2-dicarboxamido)-4-fluorophenoxy] acetate;S 23031
其他名稱 Resource,S-23031,V-23031,利心
CA登記號:87546-18-7
化學名稱:戊烷基[2-氯-5-(環己烷-1-烯基-1,2- 二羧甲醯亞胺基)-4-氟苯基]醋酸酯
實驗式:C21H23ClFNO5
相對分子質量(按2007年國際相對原子質量計):423.9
生物活性:除草
熔點:(88.9~90.1)℃
蒸汽壓(22.4℃):<1.0×10-5Pa
溶解度(25℃,g/L):水1.89×10-4、甲醇47.8、己烷3.28、丙酮590。
穩定性:水解DT50為4.2天(pH=5) ,19小時(pH=7)。
理化性質:純品為白色粉狀固體。相對密度1.33(20℃),蒸氣壓為1.0×10Pa (25℃),分配係數4.99 (20℃),25℃時溶解度為:甲醇47.8g/L、正辛醇16.0g/L、丙酮590g/L、正己烷3.28g/L、水0.189mg/L。水中半衰期為6min (pH=9)、19h(pH=7)、42d (pH=5)。
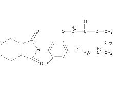
結構式:
氟烯草酸農藥毒性
大鼠急性經口LD>3600mg/kg,兔急性經皮LD2000mg/kg,大鼠急性吸入LC5.51mg/L。對兔眼睛和皮膚有中度刺激作用,無致突變性,無致畸作用。鵪鶉急性經口LD>2250mg/kg,鵪鶉和野鴨LC>5620mg/L。大翻車魚LC13~21mg/L、虹鱒魚為1.1mg/L (96h)。
對人畜低毒。大鼠急性口服LD50>5000毫克/公斤,經皮LD50>2000毫克/公斤。對皮膚和眼睛有中等刺激。
農藥劑型
10%乳油
農藥特點
氟烯草酸為觸殺芽後選擇性除草劑,葉面吸收迅速。對1年生闊葉雜草有良好防除效果。在土壤中易降解。
適用範圍
適用於大豆、玉米田和闊葉雜草。
製備
2-氯-4-氟-5-硝基苯酚的製備 將112g對氟苯酚、300mL溶劑,於0~10℃通入約75~81g氯氣,待反應完畢,水洗至pH值約6~7,分掉水層,待用。將上一步反應液在0~10℃加入114g氯甲酸乙酯,並滴加84g 50%NaOH溶液,維持溫度0~10℃,繼續反應2h,待反應完畢,水洗,分掉水層,待用。將上一步反應液,在0~10℃下加入250mL濃硫酸,並滴加混酸(90mL濃硫酸+90mL濃硝酸),滴畢,繼續反應0.5h,反應完畢,分層,無機層溶劑萃取,合併有機層,水洗,再用稀鹼洗至中性,分水,有機層脫落,得淺黃色固體245g產品,含量92%(外標),以上三步總收率:85.6%。將58g上一步產品加入80g 20%NaOH水溶液中回流反應4h,過濾,濾液酸化,得25.5g產品。收率70%,含量95%。
氟胺草酯的合成 將2-氯-4-氟-5-硝基苯酚52g、無水K2CO3 43.3g和N,N-二甲基甲醯胺250g混合後,加熱到50℃,加入47.5g氯乙酸正戊酯於60℃反應5h降溫,減壓脫溶,加水,用乙酯萃取,脫溶。將57.5g鐵粉,14.5g乙酸和276g水,加熱到80℃,滴加70g上一步產品和100g乙酸所配製的溶液,滴畢,回流反應6h,過濾,濾液加水100mL,並用乙酸乙酯萃取,脫溶。將12.0g上一步產品、3,4,5,6-四氫苯酐(7.6g)、哌啶0.2g、丙酸0.5g和甲苯50mL回流反應7h,共沸分水,反應完加入水、甲苯,分層、脫溶,剩餘物重結晶得5.5g產品。
使用方法
原葉啉原氧化酶抑制劑。藥劑被敏感雜昌葉面吸收後,迅速作用於植株組織,引起原卟啉積累,使細胞膜脂質過氧化作用增強,從而導致敏感雜草的細胞結構和細胞功能不可逆損害。本藥劑為苗後除草劑,用於防除大豆田一年知闊葉雜草,如蒼耳、豚草、藜、莧屬雜草、斑地錦、黃花稔、曼陀羅、苘麻等,也可用於玉米作物。推薦用量45~67.5g有效成分/hm,也有推薦40~100g有效成分/hm。
用於大豆、玉米苗期,每公頃用有效成分45-67.5克對水作莖葉噴霧處理。
注意事項
1.施藥1周后,大豆葉片可能出現皺縮、枯斑、新葉發黃等症狀,兩周后會恢復使用,可降低用量,對產量沒有影響。
2.氟烯草酸只對闊葉雜草有效,與防除禾本科雜草的除草劑混合使用,可降低用量,擴大殺草譜。
3.不同作物的具體使用適期和用量請注意商品說明書的介紹。

