運算方法
位平面分解
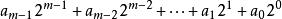
一副m比特的灰度圖像的灰度級可以用2為基的多項式表示為:
比特平面編碼根據以上式子,將多項式的m個係數分離到m個1比特的位平面中,這就實現了將一副多級灰度圖像表示成由m個二值圖像組成的集合。0級位面就是原圖像灰度級的第0位,也就是由上式中的生成的,m-1級位面就是原圖像灰度級的第m-1位,是由上式中的係數生成的,每個位面根據其係數按0到m-1進行編號,位平面每個像素的取值等於每個像素點在原圖像中對應位置的灰度級相應位的多項式係數。
採用這種分解會導致的問題是灰度級上的稍微變化就會導致位平面產生顯著的回響,例如在一個8位的灰度圖像中,當灰度從127過度到128時,八個位面的值從01111111變成10000000,所有位面的值都發生了改變。
灰度編碼
一種可以避免小的灰度變化對位面產生顯著影響的方法是預先對灰度級進行編碼。首先用一個m比特的灰度編碼來表示圖像,編碼計算公式如下:
第一式採用了異或運算,使得連續碼字之間只在一比特位置上不相同,因此灰度級小的變化不會對大部分的位面產生影響。
