計算方式
(1) 比例控制規律(P):
定義:即
比例、積分、微分控制(K為比例放大係數)
特點:比例控制規律是最基本的控制規律。當負荷變化時,克服擾動能力強,控制作用及時,過渡過程時間短,但過程終了時存在余差,且負荷變化越大余差也越大。
適用:比例控制規律適用於控制通道滯後較小,時間常數不太大,擾動幅度較小,負荷變化不大,控制質量要求不高,允許有餘差的場合。如貯罐液位、塔釜液位的控制和不太重要的蒸汽壓力的控制等。
(2) 積分控制規律和比例積分控制規律(PI):
定義:積分控制規律是指控制器的輸出變化量 p與輸入偏差 e的積分成正比,即
比例、積分、微分控制(Ki為積分比例係數)
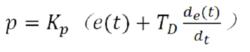
在比例控制的基礎上,再加上積分控制作用,便構成比例積分控制規律(PI),其輸出 p與輸入 e的關係為
比例、積分、微分控制特點:引入積分作用能消除余差,故比例積分控制是使用最多、套用最廣的控制規律,但是,加入積分作用後要保持系統原有的穩定性,必須加大比例度(削弱比例作用),以使控制質量有所下降,如最大偏差和振盪周期相應增大,過渡時間加強。
適用:對於控制通道滯後小,負荷變化不太大,工藝上不允許有餘差的場合,如流量或壓力控制,採用比例積分控制規律可獲得較好的控制質量。
(3) 微分控制規律和比例微分控制規律(PD)
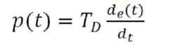
定義:微分控制規律是指控制器的輸出變化量 p與輸入偏差 e的變化速度成正比,即
比例、積分、微分控制(TD為微分時間)
在比例控制的基礎上,加上微分控制作用,便構成比例微分控制規律,其輸出 p與輸入 e的關係為
比例、積分、微分控制特點:引入微分,會有超前的控制作用,能使系統的穩定性增加,最大偏差和余差減小,加快了控制過程,改善了控制質量。
適用:適用於過程容量滯後較大的場合。對於滯後很小和擾動作用頻繁的系統,應儘可能避免適用微分作用。
(4) 比例積分微分控制規律(PID):
定義:在幅度為A的階躍偏差作用下,時間PID控制規律可看成是比例、積分和微分三部分作用的疊加的複合控制,即
比例、積分、微分控制(KD為微分增益)
特點:微分作用對於克服容量滯後有顯著效果,對克服純滯後是無能為力的。在比例作用的基礎上加上微分作用能提高系統的穩定性,加上積分作用能消除余差,又有δ、TI、TD三個可以調整的參數,因而可以使系統獲得較高的控制質量。
適用:適用於容量滯後大、負荷變化大、控制質量要求較高的場合,如反應器、聚合釜的溫度控制等。
