第一部分:化學品名稱
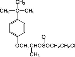
化學品中文名稱: 殺蟎特化學品英文名稱: aramite
中文名稱2: 2-(對-特丁基苯氧基)異丙基-2'-氯乙基亞硫酸酯
英文名稱2: butylphenoxyisopropylchloroethylsulfite
技術說明書編碼: 2757
CAS No.: 140-57-8
分子式: C15H23CIO4S
分子量: 334.89
第二部分:成分/組成信息
有害物成分CAS No.殺蟎特140-57-8
第三部分:危險性概述
危險性類別:
侵入途徑:
健康危害: 對實驗動物如大鼠、小鼠及狗有致癌作用。人誤服會中毒。受熱分解釋放出氯氣和氧化硫。
環境危害: 對環境有危害。
燃爆危險: 本品可燃。
第四部分:急救措施
皮膚接觸: 脫去污染的衣著,用大量流動清水沖洗。
眼睛接觸: 提起眼瞼,用流動清水或生理鹽水沖洗。就醫。
吸入: 迅速脫離現場至空氣新鮮處。保持呼吸道通暢。如呼吸困難,給輸氧。如呼吸停止,立即進行人工呼吸。就醫。
食入: 飲足量溫水,催吐。洗胃,導泄。就醫。
第五部分:消防措施
危險特性: 遇明火、高熱可燃。與氧化劑可發生反應。受熱分解產生有毒的煙氣。若遇高熱,容器內壓增大,有開裂和爆炸的危險。
有害燃燒產物: 一氧化碳、二氧化碳、氯化氫、氧化硫。
滅火方法: 消防人員必須佩戴過濾式防毒面具(全面罩)或隔離式呼吸器、穿全身防火防毒服,在上風向滅火。儘可能將容器從火場移至空曠處。噴水保持火場容器冷卻,直至滅火結束。處在火場中的容器若已變色或從安全泄壓裝置中產生聲音,必須馬上撤離。滅火劑:霧狀水、泡沫、乾粉、二氧化碳、砂土。
第六部分:泄漏應急處理
應急處理: 迅速撤離泄漏污染區人員至安全區,並進行隔離,嚴格限制出入。切斷火源。建議應急處理人員戴自給式呼吸器,穿一般作業工作服。不要直接接觸泄漏物。儘可能切斷泄漏源。防止流入下水道、排洪溝等限制性空間。小量泄漏:用砂土吸收。大量泄漏:構築圍堤或挖坑收容。用泵轉移至槽車或專用收集器內,回收或運至廢物處理場所處置。
第七部分:操作處置與儲存
操作注意事項: 密閉操作,提供充分的局部排風。防止蒸氣泄漏到工作場所空氣中。操作人員必須經過專門培訓,嚴格遵守操作規程。建議操作人員佩戴自吸過濾式防毒面具(全面罩),穿透氣型防毒服,戴橡膠手套。遠離火種、熱源,工作場所嚴禁吸菸。使用防爆型的通風系統和設備。在清除液體和蒸氣前不能進行焊接、切割等作業。避免產生煙霧。避免與氧化劑接觸。配備相應品種和數量的消防器材及泄漏應急處理設備。倒空的容器可能殘留有害物。
儲存注意事項: 儲存於陰涼、通風的庫房。遠離火種、熱源。防止陽光直射。保持容器密封。應與氧化劑分開存放,切忌混儲。配備相應品種和數量的消防器材。儲區應備有泄漏應急處理設備和合適的收容材料。
第八部分:接觸控制/個體防護
職業接觸限值
中國MAC(mg/m3): 未制定標準
前蘇聯MAC(mg/m3): 未制定標準
TLVTN: 未制定標準
TLVWN: 未制定標準
監測方法:
工程控制: 嚴加密閉,提供充分的局部排風。
呼吸系統防護: 空氣中濃度超標時,必須佩戴自吸過濾式防毒面具(全面罩)。緊急事態搶救或撤離時,應該佩戴空氣呼吸器。
眼睛防護: 呼吸系統防護中已作防護。
身體防護: 穿透氣型防毒服。
手防護: 戴橡膠手套。
其他防護: 工作現場禁止吸菸、進食和飲水。工作完畢,淋浴更衣。保持良好的衛生習慣。
第九部分:理化特性
主要成分:
外觀與性狀: 純品為無色液體,工業品為琥珀色液體。
pH:
熔點(℃): -31.7
沸點(℃): 175(0.0133kPa)
相對密度(水=1): 1.145~1.1620
相對蒸氣密度(空氣=1): 無資料
飽和蒸氣壓(kPa): <1.33(25℃)
燃燒熱(kJ/mol): 無資料
臨界溫度(℃): 無資料
臨界壓力(MPa): 無資料
辛醇/水分配係數的對數值: 無資料
閃點(℃): 無資料
引燃溫度(℃): 無資料
爆炸上限%(V/V): 無資料
爆炸下限%(V/V): 無資料
溶解性: 不溶於水,可混溶於多數有機溶劑。
主要用途: 用作殺蟎劑。
其它理化性質:
第十部分:穩定性和反應活性
穩定性:
禁配物: 強氧化劑。
避免接觸的條件:
聚合危害:
分解產物:
第十一部分:毒理學資料
急性毒性: LD50:3900 mg/kg(大鼠經口)
LC50:無資料
亞急性和慢性毒性:
刺激性:
致敏性:
致突變性:
致畸性:
致癌性:
第十二部分:生態學資料
生態毒理毒性:
生物降解性:
非生物降解性:
生物富集或生物積累性:
其它有害作用: 該物質對環境有危害,建議不要讓其進入環境。
第十三部分:廢棄處置
廢棄物性質:
廢棄處置方法: 根據國家和地方有關法規的要求處置。或與廠商或製造商聯繫,確定處置方法。
廢棄注意事項:
第十四部分:運輸信息
危險貨物編號: 無資料
UN編號: 無資料
包裝標誌:
包裝類別:
包裝方法: 無資料。
運輸注意事項: 運輸前應先檢查包裝容器是否完整、密封,運輸過程中要確保容器不泄漏、不倒塌、不墜落、不損壞。嚴禁與氧化劑等混裝混運。船運時,應與機艙、電源、火源等部位隔離。公路運輸時要按規定路線行駛。
第十五部分:法規信息
法規信息 化學危險物品安全管理條例 (1987年2月17日國務院發布),化學危險物品安全管理條例實施細則 (化勞發【1992】 677號),工作場所安全使用化學品規定 (【1996】勞部發423號)等法規,針對化學危險品的安全使用、生產、儲存、運輸、裝卸等方面均作了相應規定。

