簡介
正交多項式系是正交函式系的一種。
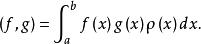
正交多項式系設在區間(a,b)上給定權函式ρ(x)(ρ≥0,且幾乎處處有ρ(x)>0),並定義(a,b)上函式f(x),g(x)的內積為
正交多項式系
正交多項式系
正交多項式系將 按施密特方法關於ρ(x)正交化,適當規定最高次項的係數,即可得到在(a,b)上關於ρ(x)的正交多項式{p(x)}。它們在函式空間 內是完備的。 為滿足(f,f)<+∞的函式f(x)所構成的空間。
常見正交多項式系
常見的正交多項式系如下表:
| p(x) | a | b | 權函式ρ(x) | 特殊值 |
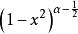
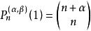
雅可比多項式 正交多項式系 | -1 | 1 | 正交多項式系 | 正交多項式系 |
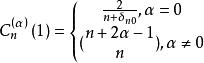
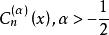
格根鮑爾多項式 正交多項式系 | -1 | 1 | 正交多項式系 | 正交多項式系 |
第一類切比雪夫多項式 正交多項式系 | -1 | 1 | 正交多項式系 | 正交多項式系 |
第二類切比雪夫多項式 正交多項式系 | -1 | 1 | 正交多項式系 | 正交多項式系 |
勒讓德多項式 正交多項式系 | -1 | 1 | 1 | 正交多項式系 |
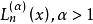
廣義拉蓋爾多項式 正交多項式系 | 0 | +∞ | 正交多項式系 | 正交多項式系 |
拉蓋爾多項式 正交多項式系 | 0 | +∞ | 正交多項式系 | 正交多項式系 |
埃爾米特多項式 正交多項式系 | -∞ | +∞ | 正交多項式系 | 正交多項式系 |
正交函式系
(orthogonal system of functions)
正交函式系是一類特殊的函式系。
正交多項式系
正交多項式系
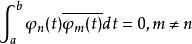
正交多項式系對於給定區間[a,b]上的函式系,如果滿足則稱是[a,b]上的正交函式系。
正交多項式系
正交多項式系
正交多項式系
正交多項式系
正交多項式系
正交多項式系
正交多項式系
正交多項式系
正交多項式系
正交多項式系
正交多項式系
正交多項式系
正交多項式系
正交多項式系
正交多項式系
正交多項式系
正交多項式系
正交多項式系
正交多項式系
正交多項式系
正交多項式系 