算法簡介
歐幾里德算法是用來求兩個正整數最大公約數的算法。是由古希臘數學家歐幾里德在其著作《The Elements》中最早描述了這種算法,所以被命名為歐幾里德算法。
擴展歐幾里德算法可用於RSA加密等領域。
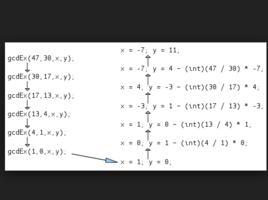
假如需要求 1997 和 615 兩個正整數的最大公約數,用歐幾里德算法,是這樣進行的:
歐幾里德算法
歐幾里德算法
歐幾里德算法
歐幾里德算法
歐幾里德算法
歐幾里德算法當被加的數為 0 時,就得出了 1997 和 615 的最大公約數 1。
計算證明
其計算原理依賴於下面的定理:
定理:兩個整數的最大公約數等於其中較小的那個數和兩數相除餘數的最大公約數。最大公約數(Greatest Common Divisor)縮寫為GCD。
gcd(a,b) = gcd(b,a mod b) (不妨設a>b 且r=a mod b ,r不為0)
證法一
a可以表示成a = kb + r(a,b,k,r皆為正整數,且r<b),則r = a mod b
假設d是a,b的一個公約數,記作d|a,d|b,即a和b都可以被d整除。
而r = a - kb,兩邊同時除以d,r/d=a/d-kb/d=m,由等式右邊可知m為整數,因此d|r
因此d也是b,a mod b的公約數
假設d是b,a mod b的公約數, 則d|b,d|(a-k*b),k是一個整數。
進而d|a.因此d也是a,b的公約數
因此(a,b)和(b,a mod b)的公約數是一樣的,其最大公約數也必然相等,得證。
證法二
第一步:令c=gcd(a,b),則設a=mc,b=nc
第二步:可知r =a-kb=mc-knc=(m-kn)c
第三步:根據第二步結果可知c也是r的因數
第四步:可以斷定m-kn與n互素【否則,可設m-kn=xd,n=yd,(d>1),則m=kn+xd=kyd+xd=(ky+x)d,則a=mc=(ky+x)dc,b=nc=ycd,故a與b最大公約數≥cd,而非c,與前面結論矛盾】
從而可知gcd(b,r)=c,繼而gcd(a,b)=gcd(b,r),得證
注意:兩種方法是有區別的。
算法原理
Lemma 1.3.1 若 a,b 且 a = bh + r,其中 h,r,則 gcd(a,b) = gcd(b,r)。
證 明. 假設 d1 = gcd(a,b) 且 d2 = gcd(b,r), 我們證明 d1| d2 且 d2| d1,因而可利用 Proposition 1.1.3⑵ 以及 d1,d2 皆為正數得證 d1 = d2。
因 d1| a 且 d1| b 利用 Corollary 1.1.2 我們知 d1| a - bh = r. 因為 d1| b,d1| r 且 d2 = gcd(b,r) 故由 Proposition 1.2.5 知 d1| d2. 另一方面,因為 d2| b 且 d2| r 故 d2| bh + r = a. 因此可得 d2| d1。
Lemma 1.3.1 告訴我們當 a > b > 0 時,要求 a,b 的最大公因數我們可以先將 a 除以 b 所得餘數若為 r,則 a,b 的最大公因數等於 b 和 r 的最大公因數. 因為 r < b < a,所以當然把計算簡化了,接著我們就來看看輾轉相除法. 由於 gcd(a,b) = gcd(- a,b) 所以我們只要考慮 a,b 都是正整數的情況。
Theorem 1.3.2 (The Euclidean Algorithm) 假設 a,b 且 a > b. 由除法原理我們知存在 h0,r0 使得
歐幾里得算法a = bh0 + r0,其中 r0 < b.
若 r0 > 0,則存在 h1,r1 使得
b = r0h1 + r1,其中 0r1 < r0.
若 r1 > 0,則存在 h2,r2 使得
r0 = r1h2 + r2,其中 0r2 < r1.
如此繼續下去直到 rn = 0 為止,若 n = 0 (即 r0 = 0),則 gcd(a,b) = b. 若 n1,則 gcd(a,b) = rn - 1。
證 明. 首先注意若 r0 0,由於 r0 > r1 > r2 > ... 是嚴格遞減的,因為 r0 和 0 之間最多僅能插入 r0 - 1 個正整數,所以我們知道一定會有 nr0 使得 rn = 0。
若 r0 = 0,即 a = bh0,故知 b 為 a 之因數,得證 b 為 a,b 的最大公因數。若 r0 > 0,則由 Lemma 1.3.1 知
gcd(a,b) = gcd(b,r0) = gcd(r0,r1) = ... = gcd(rn - 1,rn) = gcd(rn - 1,0) = rn - 1。
現在我們來看用輾轉相除法求最大公因數的例子
Example 1.3.3 我們求 a = 481 和 b = 221 的最大公因數。首先由除法原理得 481 = 2 . 221 + 39,知 r0 = 39. 因此再考慮 b = 221 除以 r0 = 39 得 221 = 5 . 39 + 26,知 r1 = 26,再以 r0 = 39 除以 r1 = 26 得 39 = 1 . 26 + 13,知 r2 = 13。最後因為 r2 = 13整除r1 = 26 知 r3 = 0,故由 Theorem 1.3.2 知 gcd(481,221) = r2 = 13。
在利用輾轉相除法求最大公因數時,大家不必真的求到 rn = 0,例如在上例中可看出 r0 = 39 和 r1 = 26 的最大公因數是 13,利用 Lemma 1.3.1 馬上得知 gcd(a,b) = 13。
在上一節 Corollary 1.2.5 告訴我們若 gcd(a,b) = d,則存在 m,n 使得 d = ma + nb。當時我們沒有提到如何找到此 m,n, 我們利用輾轉相除法來介紹一個找到 m,n 的方法, 我們沿用 Theorem 1.3.2 的符號,看 r0 = 0 的情形,此時 d = gcd(a,b) = b 所以若令 m = 0,n = 1,則我們有 d = b = ma + nb. 當 r0 0 但 r1 = 0 時,我們知 d = gcd(a,b) = r0。 故利用 a = bh0 + r0 知,若令 m = 1,n = - h0,則 d = r0 = ma + nb。同理若 r0 0,r1 0 但 r2 = 0,則知 d = gcd(a,b) = r1。故利用 a = bh0 + r0 以及 b = r0h1 + r1 知
r1 = b - r0h1 = b - (a - bh0)h1 = - h1a + (1 + h0h1)b。
歐幾里得算法因此若令 m = - h1 且 n = 1 + h0h1,則 d = r1 = ma + nb. 依照此法,當 r0,r1 和 r2 皆不為 0 時,由於 d = gcd(a,b) = rn - 1 故由 rn - 3 = rn - 2hn - 1 + rn - 1 知 d = rn - 3 - hn - 1rn - 2. 利用前面推導方式我們知存在 m1,m2,n1,n2 使得 rn - 3 = m1a + n1b 且 rn - 2 = m2a + n2b 故代入 得
d = (m1a + n1b) - hn - 1(m2a + n2b) = (m1 - hn - 1m2)a + (n1 - hn - 1n2)b.
因此若令 m = m1 - hn - 1m2 且 n = n1 - hn - 1n2,則 d = ma + nb.
上面的說明看似好像當 r0 0 時對每一個 i {0,1,...,n - 2} 要先將 ri 寫成 ri = mia + nib,最後才可將 d = rn - 1 寫成 ma + nb 的形式,其實這只是論證時的方便,在實際操作時我們其實是將每個 ri 寫成 mi'ri - 2 + ni'ri - 1 的形式慢慢逆推回 d = ma + nb. 請看以下的例子.
Example 1.3.4 我們試著利用 Example 1.3.3 所得結果找到 m,n 使得 13 = gcd(481,221) = 481m + 221n. 首先我們有 13 = r2 = 39 - 26 = r0 - r1. 而 r1 = 221 - 5 . 39 = b - 5r0,故得 13 = r0 - (b - 5r0) = 6r0 - b. 再由 r0 = 481 - 2 . 221 = a - 2b,得知 13 = 6(a - 2b) - b = 6a - 13b. 故得 m = 6 且 n = - 13 會滿足 13 = 481m + 221n。
要注意這裡找到的 m,n 並不會是唯一滿足 d = ma + nb 的一組解,雖然上面的推演過程好像會只有一組解,不過只能說是用上面的方法會得到一組解,並不能擔保可找到所有的解,比方說若令 m' = m + b,n' = n - a,則 m'a + n'b = (m + b)a + (n - a)b = ma + nb = d. 所以 m',n' 也會是另一組解,所以以後當要探討唯一性時,若沒有充分的理由千萬不能說由前面的推導過程看出是唯一的就斷言是唯一,一般的作法是假設你有兩組解,再利用這兩組解所共同滿足的式子找到兩者之間的關係. 我們看看以下的作法。
Proposition 1.3.5 假設 a,b 且 d = gcd(a,b)。若 x = m0,y = n0 是 d = ax + by 的一組整數解,則對任意 t,x = m0 + bt/d,y = n0 - at/d 皆為 d = ax + by 的一組整數解,而且 d = ax + by 的所有整數解必為 x = m0 + bt/d,y = n0 - at/d 其中 t 這樣的形式。
證 明. 假設 x = m,y = n 是 d = ax + by 的一組解, 由於已假設 x = m0,y = n0 也是一組解,故得 am + bn = am0 + bn0. 也就是說 a(m - m0) = b(n0 - n). 由於 d = gcd(a,b),我們可以假設 a = a'd,b = b'd 其中 a',b' 且 gcd(a',b') = 1 (參見 Corollary 1.2.3)。因此得 a'(m - m0) = b'(n0 - n)。 利用 b'| a'(m - m0),gcd(a',b') = 1 以及 Proposition 1.2.7⑴ 得 b'| m - m0. 也就是說存在 t 使得 m - m0 = b't. 故知 m = m0 + b't = m0 + bt/d. 將 m = m0 + bt/d 代回 am + bn = am0 + bn0 可得 n = n0 - at/d,因此得證 d = ax + by 的整數解都是 x = m0 + bt/d,y = n0 - at/d 其中 t 這樣的形式. 最後我們僅要確認對任意 t,x = m0 + bt/d,y = n0 - at/d 皆為 d = ax + by 的一組整數解, 然而將 x = m0 + bt/d,y = n0 - at/d 代入 ax + by 得 a(m0 + bt/d)+ b(n0 - at/d)= am0 + bn0 = d,故得證本定理。
利用 Proposition 1.3.5 我們就可利用 Example 1.3.4 找到 13 = 481x + 221y 的一組整數解 x = 6,y = - 13 得到 x = 6 + 17t,y = - 13 - 37t 其中 t 是 13 = 481x + 221y 所有的整數解。
程式設計
輾轉相除法是利用以下性質來確定兩個正整數 a 和 b 的最大公因子的:
⒈ 若 r 是 a ÷ b 的餘數,且r不為0, 則
gcd(a,b) = gcd(b,r)
⒉ a 和其倍數之最大公因子為 a。
另一種寫法是:
⒈ 令r為a/b所得餘數(0≤r<b)
若 r= 0,算法結束;b 即為答案。
⒉ 互換:置 a←b,b←r,並返回第一步。
算法版本
Go語言版本
Pascal語言版
C語言版
Ruby語言版
C++版
Java版
JavaScript版
Python版
模P乘法逆元
對於整數a、p,如果存在整數b,滿足ab mod p =1,則說,b是a的模p乘法逆元。
定理:a存在模p的乘法逆元的充要條件是gcd(a,p) = 1
證明:
首先證明充分性
如果gcd(a,p) = 1,根據歐拉定理,aφ(p) ≡ 1 mod p,因此
顯然aφ(p)-1 mod p是a的模p乘法逆元。
再證明必要性
假設存在a模p的乘法逆元為b
ab ≡ 1 mod p
則ab = kp +1 ,所以1 = ab - kp
因為gcd(a,p) = d
所以d | 1
所以d只能為1
Stein算法
歐幾里德算法是計算兩個數最大公約數的傳統算法,他無論從理論還是從效率上都是很好的。但是他有一個致命的缺陷,這個缺陷只有在大素數時才會顯現出來。
硬體平台,一般整數最多也就是64位,對於這樣的整數,計算兩個數之間的模是很簡單的。對於字長為32位的平台,計算兩個不超過32位的整數的模,只需要一個指令周期,而計算64位以下的整數模,也不過幾個周期而已。但是對於更大的素數,這樣的計算過程就不得不由用戶來設計,為了計算兩個超過 64位的整數的模,用戶也許不得不採用類似於多位數除法手算過程中的試商法,這個過程不但複雜,而且消耗了很多CPU時間。對於現代密碼算法,要求計算 128位以上的素數的情況比比皆是,設計這樣的程式迫切希望能夠拋棄除法和取模。
Stein算法由J. Stein於1961年提出,這個方法也是計算兩個數的最大公約數。和歐幾里德算法不同的是,Stein算法只有整數的移位和加減法,這對於程式設計者是一個福音。
為了說明Stein算法的正確性,首先必須注意到以下結論:
gcd(a,a) = a,也就是一個數和他自身的公約數是其自身
gcd(ka,kb) = k gcd(a,b),也就是最大公約數運算和倍乘運算可以交換,特殊的,當k=2時,說明兩個偶數的最大公約數必然能被2整除
C++/java 實現
// c++/java stein 算法
int gcd(int a,int b)
{if(a<b) //arrange so that a>b
{int temp = a;a = b;b=temp;}
if(0==b) //the base case
return a;
if(a%2==0 && b%2 ==0) //a and b are even
return 2*gcd(a/2,b/2);
if (a%2 == 0) // only a is even
return gcd(a/2,b);
if (b%2==0)// only b is even
return gcd(a,b/2);
return gcd((a-b)/2,b);// a and b are odd
}
算法擴展
擴展歐幾里德算法不但能計算(a,b)的最大公約數,而且能計算a模b及b模a的乘法逆元,用C語言描述如下:
擴展歐幾里德算法對於最大公約數的計算和普通歐幾里德算法是一致的。計算乘法逆元則顯得很難明白。我想了半個小時才想出證明他的方法。
首先重複拙作整除中的一個論斷:
如果gcd(a,b)=d,則存在m,n,使得d = ma + nb,稱呼這種關係為a、b組合整數d,m,n稱為組合係數。當d=1時,有 ma + nb = 1 ,此時可以看出m是a模b的乘法逆元,n是b模a的乘法逆元。
為了證明上面的結論,我們把上述計算中xi、yi看成ti的疊代初始值,考察一組數(t1,t2,t3),用歸納法證明:當通過擴展歐幾里德算法計算後,每一行都滿足a×t1 + b×t2 = t3
第一行:1 × a + 0 × b = a成立
第二行:0 × a + 1 × b = b成立
假設前k行都成立,考察第k+1行
對於k-1行和k行有
t1(k-1) t2(k-1) t3(k-1)
t1(k) t2(k) t3(k)
分別滿足:
t1(k-1) × a + t2(k-1) × b = t3(k-1)
t1(k) × a + t2(k) × b = t3(k)
根據擴展歐幾里德算法,假設t3(k-1) = j t3(k) + r
則:
t3(k+1) = r
t2(k+1) = t2(k-1) - j × t2(k)
t1(k+1) = t1(k-1) - j × t1(k)
則
t1(k+1) × a + t2(k+1) × b
=t1(k-1) × a - j × t1(k) × a +
t2(k-1) × b - j × t2(k) × b
= t3(k-1) - j t3(k) = r
= t3(k+1)
得證
因此,當最終t3疊代計算到1時,有t1× a + t2 × b = 1,顯然,t1是a模b的乘法逆元,t2是b模a的乘法逆元。

