概述
次固結尤其是軟土的次固結是工程套用中比較關注的問題,但不知出於何種原因,現行的國標行標均在有意無意間迴避次固結係數的測定,即使是ASTM,在固結試驗這個章節里也沒有提及次固結係數。我們說在主固結完成之後,孔隙排水的過程基本結束,但土顆粒骨架在重力作用下發生緩慢蠕變的過程是相對漫長的,對工程建築的影響是很大的,特別是一些重要建築,關乎百年大計,如顆忽視這個問題結果是可想而知了。
次固結係數測定
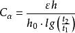
英國土木規範BS:1377有關於次固結係數的計算方法,公式如下:
次固結係數
次固結係數lgt~R曲線
式中,δh—CF線段上,與時間t2、t1對應的試樣的高度變化; h0——試樣初始高度,取20mm。
次固結係數試驗的方法就是在主固結完成後繼續觀測沉降變化,繪製沉降量--時間對數關係曲線,如上圖所示。
軟土結構性對次固結係數的影響
軟土在荷載作用下產生較大的變形,可分為主固結和次固結變形兩部分。主固結是指在外荷作用下,超靜孔隙水壓力逐漸消散,土骨架有效應力隨之增加的土體固結過程。次固結是在超靜孔隙水壓力消散後,在恆定有效應力作用下土體變形的過程。 對於有機質含量較高、高塑性的軟土地基,由於次壓縮引起的工後沉降不容忽視。
試驗方法
次固結試驗主要是針對原狀土和重塑土進行的 高壓固結試驗與對原狀土進行的一維固結蠕變試驗。試驗儀器採用槓桿式高壓固結儀,試樣面積為 32.2 cm2,高為 2 cm,都在雙面排水條件下採用逐 級加荷(加荷比為 1)至試驗完成。所不同的是高壓固結試驗加入卸載再載入過程,每級荷載持續1 d,一維固結蠕變試驗中當試樣1 d 內變形量小於 0.01 mm 時,施加下一級荷載。 高壓固結試驗加荷方案為:
12.5→25→50→ 75→100→200→400→200→100→0→100→200→ 400→800→1 600 kPa;一維固結蠕變試驗加荷方案 為:12.5→25→50→100→200→400→800→1 600 kPa。
次固結係數
次固結係數考慮當軟土結構屈服壓力 較小、施加壓力較大時,會很難在壓縮曲線上找到明顯拐點,難以確定 ,因此,設計試驗的初始施加幾級的壓力都比較小.
結論
(1)結構性軟土的壓縮曲線分為平緩段、陡降段和趨於重塑土壓縮曲線段 3 段,卸載再載入過程 對結構性土的壓縮性影響不大。隨著荷載P的增大, 土體的固結程度增大,滲透係數減小,主次固結的分界越不明顯。
(2)由於軟土結構性的影響,正常固結的天然沉積軟土可能存在OCR>1 的現象,根據 OCR 對土壓密狀態的判斷可能出現錯誤的結論。因此,從超固結角度對結構性軟土變化規律進行解釋並不合理。

