簡介
圖1 電阻應變片的橫向效應在電阻應變計中,絲式應變計的敏感柵最常用的有絲繞式和短接線式兩種(圖1)。
①絲繞式的敏感柵是用直徑0.015~0.05毫米的金屬絲連續繞制而成,端部呈半圓形。如果安裝應變計的構件表面存在兩個方向的應變,此圓弧端除了感受縱向應變外,還能感受橫向應變,後者即稱為橫向效應。若對測量精度的要求較高,應考慮橫向效應的影響並進行修正。
②短接線式的敏感柵採用較粗的橫絲,將平行排列的一組直徑為0.015~0.05毫米的金屬縱絲交錯連線而成,端部是平直的。它的橫向效應很小,但耐疲勞性能不如絲繞式的。
產生原因
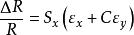
當試件承受單向應力σ時,其表面處於平面應力狀態,即縱向拉伸ε和橫向收縮ε(見圖1(A)),貼上在試件表面上的應變片,其縱柵和橫柵各自分別敏感ε和ε(見圖1(B)),於是應變片的電阻變化為
橫向效應Sx—應變片對縱向應變的靈敏係數,它表示ε=0時,其電阻相對變化與縱向應變ε之比;
S—應變片對橫向應變的靈敏度係數,它表示ε=0時,其電阻相對變化與橫向應變ε之比;
ε、ε 分別為縱向應變和橫向應變。
橫向效應令,稱為橫向效應係數,則
橫向效應在應變片軸向單向應力作用下,材料的泊松係數為μ則
橫向效應可見,在單向應力、雙向應變情況下,橫向應變總是起著抵消縱向應變的作用。
應變片這種既敏感縱向應變,又同時受橫向應變影響而使靈敏度係數及電阻相對變化都減小的現象,稱為應變片的橫向效應。
如何減少橫向效應的影響
圖 2 常見電阻應變片要減少橫向效應的影響,有效的方法是減小橫向係數C。理論分析和實驗表明:對柵狀應變片,縱柵l越長,橫柵r越小,則C越小。因此採用短接式橫柵或箔式應變片(見圖2),可有效克服橫向效應的影響。

