橫傾
橫傾是艦體向一側傾斜斜的狀態。造成橫傾的原因主要是縱中剖面兩側積載不均或一側進水。橫傾後,艦體阻力增大,航速降低,舵面不再垂直於相對流向,轉船力矩減小,橫傾角越大,舵效越低。另外,橫傾後,兩側浸水面積不等,水動力合力作用點偏於一側,產生推艦艇向高舷一側偏轉的力矩;雙螺旋槳艦艇低舷一側的螺旋槳浸水深,效率高,推力略大於高舷螺旋槳,因此形成推力差,也產生向高舷偏轉的力矩。通常除方形艦首的特殊艦船在橫傾時,可能向低舷偏轉外,都有向高舷偏轉的現象。有橫傾的艦艇,在迴轉掉頭時,向舷高一側轉動比較靈活,迴轉直徑也較小。但總的來說,橫傾對艦艇操縱不利。
橫傾角分類
根據外力為靜力或動力產生橫傾,橫傾角分為船舶靜橫傾角和船舶動橫傾角。
船舶靜橫傾角
船舶靜橫傾角,是指船舶在靜態力矩作用下產生的橫傾角。靜橫傾角一般按復原力矩等於橫傾力矩的平衡條件求得。過大的靜橫傾角容易使乘客驚慌,故規範對乘客集中一舷和船舶迴轉時的靜橫傾角加以限制,其允許的最大橫傾角稱為極限靜橫傾角。
船舶動橫傾角
船舶動橫傾角,是指船舶在動態力矩作用下產生的橫傾角。動橫傾角可通過動態力矩和復原力矩在同一橫傾過程中所作的功相等的條件來加以確定。一般利用靜穩性曲線減動穩性曲線的作圖法求得。
船舶橫傾角的調整
船舶無論在港內還是在航行中,常常會出現橫傾。產生橫傾的原因有很多:貨物裝卸左右不對稱,油水使用不均衡,艙內貨物橫向移位以及使用船上重吊裝卸重大件貨物等。船舶初始橫傾角的存在會使穩性力臂降低,大傾角穩性變差。因此,由於船上載荷分布左右不均衡造成的橫傾角,應從其產生的原因上加以消除:在做配積載計畫時應保證貨物載重量左右均衡分布,船上油水艙位的安排及使用應左右均衡;艙內和甲板上裝載的貨物應做好綁紮,以防止貨物在船舶搖擺中移位。如果發生貨物移位也應努力恢復其原位。
但當用船上重吊裝卸重大件貨物時所產生的橫傾角,則無法通過其產生的途徑加以消除。為了防止船舶產生過大的橫傾角以致危及船舶安全,必須加以調整。
下文在小傾角橫傾和直舷壁的假設基礎上,推導出採用橫向移動載荷和側翼壓載的方法調整船舶橫傾角的理論計算公式。該推導簡單、實用、便於理解。
船內移動貨物調整初始橫傾角
如圖1所示,船舶排水量Δ,穩心M點,初始重心G點,偏離中線面,坐標為Y,船舶初始橫傾角θ,船舶初穩性高度為GM,GM=KM-KG。
橫傾角在小角度橫傾時,浮力作用線通過穩心M,船舶處於平衡狀態,有
橫傾角
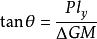
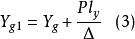
橫傾角將船內一貨重P自q點水平移至q點見圖2。平移距離為,船舶橫傾角減小至θ,新的船舶重心G的橫向坐標Y,船舶達到新的平衡:
橫傾角根據平行力移動原理有
橫傾角
橫傾角
橫傾角式中:——貨物水平橫移距離,
由式(1)、式(2)和式(3)得:
橫傾角
橫傾角可以用力矩等效原則,解釋上式三部分的含義:ΔGMtanθ反映了初始狀態使船舶橫傾θ角的等效橫傾力矩大小,反映了橫移貨物引起的橫傾力矩變化,ΔGMtanθ反映了調整後,使船舶橫傾θ角的等效橫傾力矩大小。
當θ=0時,即船舶初始正浮,橫向移動貨物產生橫傾角θ角,有
橫傾角與船內水平橫移貨物公式一致。
當θ=0時,即將船舶自θ角調整至正浮位置,有
橫傾角相當於上式的逆變化。
少量裝卸貨物調整初始橫傾角
橫傾角通過不對稱裝卸貨物同樣能達到調整船舶橫傾角得目的,如圖1所示初始狀態,滿足平衡條件(式1),假使在q點處裝卸貨重P(圖3),貨物垂向坐標為Z,移動後船舶排水量為Δ,重心為G,初穩性高為GM,移動後船舶靜止於橫傾角θ處,新的初穩性高度GM為
橫傾角式中:Δ——裝卸貨後的船舶排水量,Δ=Δ+P
滿足平衡條件:
橫傾角根據重心計算公式,船舶橫向坐標滿足
橫傾角由式(1)、式(6)和式(7)得
橫傾角
橫傾角依然可以用力矩等效原則,解釋上式三部分的含義:ΔGMtanθ反映了初始狀態使船舶橫傾θ角的等效橫傾力矩大小,反映了裝卸貨物引起的橫傾力矩變化,ΔGMtanθ反映了調整後,使船舶橫傾θ角的等效橫傾力矩大小。
當θ=0時,即船舶初始正浮,裝卸貨物產生橫傾角θ角,有
橫傾角可理解為船舶首先裝在與貨物等高的中線面處,船舶平行沉浮,初穩性高度變為,GM然後平移至Y,產生橫傾角,而得到上式。
當θ=0時,即將船舶自θ角調整至正浮位置,有
橫傾角表面上看來通過裝卸貨物,調整船舶橫傾角,船舶的排水量改變了,似乎上式中應體現出Δ和GM,但是,由於船舶穩性只有在橫傾角存在時才能體現出來,正是由於末狀態的橫傾角為零,才將Δ和GM因素給禁止掉了。其實我們也可以從另外的角度理解公式(8),既然裝卸貨物的目的是調平,不妨先進行船內移貨,假想有P噸的貨物由中線面移至Y,使船舶正浮,根據船內移貨公式得式(10),再在中線面匕裝貨,浮態依然不變。

