定義
設橢圓的兩個焦點分別為F1,F2,它們之間的距離為2c,橢圓上任意一點到F1,F2的距離和為2a(2a>2c)。
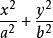
以F1,F2所在直線為x軸,線段F1F2的垂直平分線為y軸,建立直角坐標系xOy,則F1,F2的坐標分別為(-c,0),(c,0)。
參數方程為
橢圓參數方程
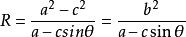
橢圓參數方程a為長半軸長度,b為短半軸長度,c為焦距的一半;R為橢圓上的點P(x,y)到焦點(c,0)的距離,θ為橢圓上點P(x,y)與焦點(c,0)的連線與y軸夾角,ф為橢圓上點P(x,y)與焦點(-c,0)的連線與x軸夾角。
證明
橢圓參數方程推導:
橢圓參數方程(1)的平方加(2)的平方
橢圓參數方程
橢圓參數方程化簡得:
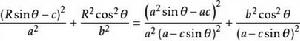
橢圓參數方程證明:將任意一點P的坐標(Rsinθ-c,Rcosθ)代入方程 =
橢圓參數方程
橢圓參數方程說明P點是橢圓標準方程上的一點。
例子
圓的參數方程是R=a,c=0,a=b。

