基本概念
在模糊推理過程中,選取不同的模糊運算元便產生了不同的模糊推理方法。常用的模糊關係合成(Compostional Rule of Inference,CRI)法是模糊控制最基本的方法,模糊子集之間取“Min-Max”運算,即模糊規則前件之間以及前件與後件之間取“Min” ,而規則之間取“Max” ,從而實現模糊關係合成的運算。但是,使用“Min-Max” 運算容易丟失模糊子集中隸屬度對模糊推理的影響。
模糊控制器
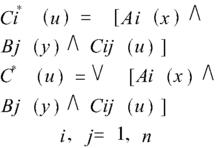
模糊控制器的基本結構包括各變數的論域、隸屬函式、模糊控制規則的形成和模糊控制表。圖1所示的模糊控制器為常用的基本結構形式。設系統的偏差e、偏變變化ec和控制量u的基本模糊變數論域均為[-6,6],模糊分為“ NB,NM,NS,Z,PS,PM,PB” 7個模糊等級,相應的隸屬函式如圖2所示。對形如“ if Ai and then Cij” ( i,j= 1,2,… 7)的規則,有表1所示的模糊控制規則表。
模糊運算元圖1
模糊運算元圖2
模糊運算元分類
幾種不同的模糊運算元
模糊關係合成運算“。” 稱為模糊運算元,而模糊運算元是人為定義的,因此也可以給“。” 以不同的定義,以便比較哪一種模糊運算元在模糊推理過程中控制效果最優、更加合理。
下面給出幾種模糊運算元 。
“ Min-Max”模糊運算元
推理結果
模糊運算元“積-和”模糊運算元
推理結果
模糊運算元“Min/積-和”模糊運算元
推理結果
模糊運算元
模糊運算元“Min-積”模糊運算元
推理結果
模糊運算元“Min-和”模糊運算元
推理結果
模糊運算元分析比較
在所給出的幾種模糊運算元中,除常用的模糊推理CRI法中所用模糊運算元“Min-Max” 外,其餘幾種都含有“積” 或“和” 運算,這是因為:用“積” 代替“Min-Max”中的“Min”的好處在於每個規則前件中模糊子集的隸屬度均可反映相互的影響,而不丟失隸屬度對模糊推理的影響;而用“和”代替“Max”的好處可以在圖3中看的更加清楚。假定一些推理結果堆積在右邊,如圖3(a)所示,由於在這種情況下很多推理結果位於右邊,則很自然地認為代表點(即重心)會在中心的右邊。然而,若用“ Max” 的方式對它們進行組合,則最後的推理結果C*與它最外層的推理結果是相同的,這樣,其代表點自然就是中心 ,但這與常識是不一致的。為了反應多個推理結果在右邊的效果。用“和”的方法(即一個疊加在另一個之上) 是適宜的,此時重心是靠右邊的點,這與人們的直覺是相一致的。如圖3(b)所示。
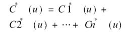
模糊運算元通過不同模糊運算元的基本原理和特點,可以得出:
(1)模糊運算元“Min/積-和”控制效果最好;
(2)模糊運算元“Min/積-Max”和“積-和”控制效果次之;
(3)模糊運算元“Min-和”和“Min-Max”控制效果最差。

