基本信息
模擬萬用表用來測量直流電流、直流電壓和交流電流、交流電壓、電阻的儀器。主要有指示部分、測量電路、轉換裝置三個部分組成。與數字萬用表相比,方便直觀。
組成
模擬萬用表模擬萬用表由表頭、測量電路和轉換開關三部分組成。
表頭特性
模擬萬用表表頭刻度線一般有四條,分別表示電阻、電壓/電流以及電平的讀數。
歐姆表各檔的校準是以各自的中心電阻值為標準來進行的,所以在測量電阻時,應使指針儘量示於刻度標尺的正中央附近,以減小誤差。電流表、電壓表各檔的校準是以各自的滿刻度值為標準來進行的,因此測量時應使指針的示值儘量靠近滿度值,以減小誤差。
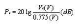
電平的測量實際上是以交流電壓測量來實現的,因此,雖然電平是以功率比取對數來定義的,但它可以變換成電壓的測量。由於零功率電平是在600W負載上獲得lmW功率時的電平,則零功率電平時負載上的電壓,這個電壓數值就是零電平電壓,因此電壓(絕對)電平: 式中,Vx為某點的電壓值,單位為V。
模擬萬用表
模擬萬用表錶盤上分貝刻度是與交流電壓的最低檔(10V檔)相對應的。
工作原理
電磁式表頭基本工作原理是先通過一定的測量機構將被測的模擬電量轉換成電流信號,再由電流信號去驅動電磁式表頭指針偏轉,通過對相應的刻度板讀數即可指示出被測量的大小。
使用方法
一、準備工作
萬用表應水平放置;調節“機械調零”螺絲,使指針指示在零位;紅表筆插入“+”插孔,黑表筆插入“- ”插孔。
二、電阻的測量
1、正確選用W檔。
2、歐姆調零:在進行電阻測量前,先將兩根表筆“短接”,指針便向滿刻度偏轉;再調節“歐姆調零”電位器,使指針指在0W刻度上。
3、測出電阻值:將兩根表筆分別接被測電阻的兩端,電阻值=W檔倍率×指針在刻度上的讀數。
三、直流電流的測量
1、選擇轉換開關的直流電流量程檔。
2、連線測量電路:萬用表串聯接入被測電路,紅表筆接電流流入方向,黑表筆接電流流出方向。
3、讀數:直流電流值等於直流電流量程相應刻度線的指針示值。
四、直流電壓的測量
1、選擇轉換開關的直流電壓檔。
2、連線測量電路:紅表筆接被測直流電壓的正端,黑表筆接被測電壓的負端。
3、讀數:直流電壓值等於直流電壓檔相應刻度線的指針示值。
五、交流電壓的測量
1、選擇轉換開關的交流電壓檔。
2、兩根測試筆接在被測交流電壓的兩端,不需考慮極性。
3、讀數:交流電壓值等於交流電壓檔相應刻度線的指針示值。
六、交流電流的測量
1、選擇轉換開關的交流電流量程檔。
2、將萬用表串聯接入被測電路中,兩表筆的連線不需考慮極性。
3、讀數:交流電流值等於交流電流檔相應刻度線的指針示值。

