描述
極限比較審斂法
極限比較審斂法假設存在兩個級數,且對於任意n都有。
極限比較審斂法
極限比較審斂法如果(),那么兩級數同時收斂或發散。
證明
極限比較審斂法
極限比較審斂法
極限比較審斂法
極限比較審斂法
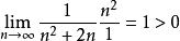
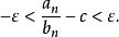
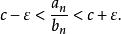
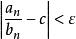
極限比較審斂法對,我們知道對於任意都存在一正整數使得當 時有,等價於
極限比較審斂法
極限比較審斂法
極限比較審斂法
極限比較審斂法
極限比較審斂法
極限比較審斂法
極限比較審斂法
極限比較審斂法由於c>0,我們可以讓足夠小使得為正。 因此,根據比較審斂法,如果收斂,則同樣收斂。
極限比較審斂法
極限比較審斂法
極限比較審斂法類似地,,如果收斂,根據比較審斂法,亦收斂。
因此二者同時收斂或發散。
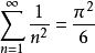
例子
極限比較審斂法
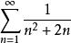
極限比較審斂法判斷是否收斂。我們將其與收斂級數進行比較。
極限比較審斂法由於,我們可以得出原級數收斂。
參見
•審斂法
•比較審斂法
