理化性質
中文名稱 植酸
別名 肌醇六磷酸; 環己六醇磷酸酯
植酸英文名稱 Fytic acid
英文別名 Inositol Hexaphosphate; Inositol-hexaphosphoric acid; Inositol hexaphosphoric acid, 40-50 wt% aqueous solution; myo-Inositol, hexakis(dihydrogen phosphate); myo-Inositol hexakisphosphate; Myo-inositol hexaphosphate; Phytic acid
CAS NO. 83-86-3
EINECS 201-506-6
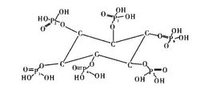
植酸分子式 C6H18O24P6
分子結構圖
分子結構圖3D模型
分子量 660.04
物理化學性質
性狀:淡黃色至淡褐色漿狀液體。
溶解性:易溶於水、乙醇和丙酮,幾乎不溶於乙醚、苯和氯仿。
密度:1.285
折射率:1.391
性質
植酸【沸點】 105°C at 760 mmHg
【閃點】 673.9°C
【蒸汽壓】 0mmHg at 25°C
【性狀】 淡黃色至淡褐色漿狀液體。
【溶解性】 易溶於水、乙醇和丙酮,幾乎不溶於乙醚、苯和氯仿。
套用領域
植酸作為螯合劑、抗氧化劑、保鮮劑、水的軟化劑、發酵促進劑、金屬防腐蝕劑等,廣泛套用於食品、醫藥、油漆塗料、日用化工、金屬加工、紡織工業、塑膠工業及高分子工業等行業領域。
食品工業用於果蔬及水產的保鮮、護色,也用作金屬防鏽、防蝕劑。
儲運條件
本品應密封於陰涼乾燥處保存,一般採用聚乙烯塑膠桶包裝,重量分為1kg、10kg和20kg等幾種。按一般化學品規定貯運。
抗營養化
1.降低礦物元素的吸收利用
2.降低飼料蛋白質的消化利用
3.降低消化酶的活性
4.高磷糞便對環境造成不良影響(富營養化)
1 植酸及其抗營養特點
植酸的化學構造是由一分(fèn)子肌醇與六分子磷酸結(jié)合而成,其化學名稱是六磷酸肌醇。植酸自己毒性很小,但卻有與EDTA近似(shì)的很強的螯合能力。
植酸及其植酸鹽是磷在植物籽實中存在的重要形式,一般谷實類飼料中植酸磷占總磷的比例為50%~80%,此中玉米、豆粕中的植酸磷占總磷的比例分別為71%和58%(NRC,1994人但單胃動物體內缺少分化植酸的植酸酶,使植物中的磷在單胃動物體內消化率很低,大部門植物飼料中的磷僅有30%能被畜禽利用。植酸磷不單是植物飼料中磷的重要存在形式,並且因其帶有負電荷,具有很強的螯合能力,能與很多陽離子,Ca2+、Mg2+、Zn2+、Fe2+、Mn2+等形成不溶性複合物,從而影響上述金屬離子的消化接收和利用(Cheryan,1983)。Rao(1999)在飼料中含有相同總磷程度的肉雞豢養實驗中,飼料中含有2g/kg植酸磷組的肉雞股骨灰分由對比組(含0.5g/kg植酸磷)的467g/kg降為422g/kg,血清磷的程度也比對比組低41%。飼料中植酸磷含量過高時金屬礦物元素的生物利用率大大下降,從而須要進步飼料中各類礦物元素的添加量。
植酸還可以與卵白質發生反應,天然植酸一卵白質二元複合物(低於卵白質等電點pH介質下)或以金屬陽離子為橋,天然植酸一金屬陽離子一卵白質三元複合物(高於卵白質等電點pH介質下),下降卵白質的利用率(何欣,1997)。卵白質與植酸聯合後,可以或許形成絡合物而沉澱,據Jonghloed等(1997)體外實驗證實,植酸與卵白質可否絡合而沉澱,重要取決於pH值,當pH值為2而未加植酸時,溶液中可溶卵白占總卵白比例除米糠、豆粕外,其餘原料均到達100%,添加植酸後,菜籽粕下降到63%,其餘原料均下降到30%以下,其中酪卵白和豆粕分別降為1%和2%。pH值為3時,添加植酸下降了卵白質的可溶性,但當pH值在4~10時,添加植酸對卵白質的消融性幾乎沒有影響(羅緒剛,1998)。畜禽胃內的pH值一般為1.5~3.5,所以,植酸與卵白質在畜禽胃內絡合是完全有可能的。此外,植酸及其水解不完整產品對單胃動物胃腸道排泄的消化酶如卵白質水解酶、澱粉水解酶、脂酶的活性都有抑制作用。
2 飼料中添加植酸酶對畜禽出產機能的影響
植物性飼料中三分之二的磷與肌醇聯合成植酸。植酸具有很強的螯合能力,它不僅使植酸磷的利用效力很低,植酸還能與鈣、鎂、鋅、卵白質。胺基酸和澱粉等形成難以消化的絡合物,導致飼料中多種營養消化率下降。植酸在消化道還與消化酶聯合,使其活性下降,成為抑制成分。飼料中摻加植酸酶後,一方面可以將磷、鈣、鎂等礦物元素和肌醇從植酸鹽中釋放出來,提高 各類礦物元素和肌醇的利用率,植酸酶還能提高澱粉和卵白質的消化率和利用率,從而綜(zōng)合提高飼料的營養價值。Simons(199)用A.ficcum發生的植酸酶對0~4周齡肉雞進行實驗,4種微生物的植酸酶分別為375,50、1500和WU/kg。
