概念
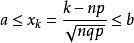
棣莫弗一拉普拉斯局部極限定理(De Moivre-Laplace local limit theorem)是關於伯努利試驗的極限定理。定理表述如下:若μ是n次伯努利試驗中事件A出現的次數,在每次試驗中A出現的機率為p(0<p<1),則對任意有限區間[a,b],當:
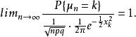
棣莫弗一拉普拉斯局部極限定理時,一致地有:
棣莫弗一拉普拉斯局部極限定理由定理可見,
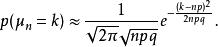
棣莫弗一拉普拉斯局部極限定理因為定理只涉及常態分配的密度函式,故稱為局部極限定理。這一定理是棣莫弗-拉普拉斯1730年得到的。由於常態分配的密度函式有表可查,這就給二項分布的機率計算帶來了方便。
伯努利試驗
伯努利試驗(Bernoulli experiment)是在同樣的條件下重複地、相互獨立地進行的一種隨機試驗,其特點是該隨機試驗只有兩種可能結果:發生或者不發生。我們假設該項試驗獨立重複地進行了n次,那么就稱這一系列重複獨立的隨機試驗為n重伯努利試驗,或稱為伯努利概型。單個伯努利試驗是沒有多大意義的,然而,當我們反覆進行伯努利試驗,去觀察這些試驗有多少是成功的,多少是失敗的,事情就變得有意義了,這些累計記錄包含了很多潛在的非常有用的信息。
伯努利試驗是一個有兩種結果的簡單試驗,它的結果是成功或失敗,黑或白,開或關,沒有中間的立場,沒有妥協的餘地。這樣的例子也特別多,例如我們觀察從一副紙牌中拿出一張牌,它或者是黑色或者是紅色;接生一個嬰兒,或者是男孩或者是女孩;我們經歷24小時的一天,或者遇到流星或者遇不到流星。在每一種情況下,很方便設計一種結果“成功”,另外一種結果為“失敗”,例如選出一張黑色牌,生出一個女兒,沒有遇到流星都可以表示為“成功”。然而,從機率的角度看,選擇紅牌、兒子、遇到流星為成功也是不會產生差異的。在這種場合下,“成功”是沒有價值取向的色彩。
單個伯努利試驗是沒有多大意義的,然而,當我們反覆進行伯努利試驗,去觀察這些試驗有多少是成功的,多少是失敗的,事情就變得有意義了,這些累計記錄包含了很多潛在的非常有用的信息。
極限定理
極限定理是指機率論術語。關於隨機變數序列極限特性的一簇定理的總稱。有大數定律和中心極限定理兩大最基本的類型。前者用於描述平均結果和頻率的穩定性。後者用於描述分布的穩定性。機率論的重要研究領域。參見“大數定律”、“中心極限定理”。
關於隨機變數列在一定收斂意義下收斂於某隨機變數的定理的總稱,包括大數定律、小數定律、中心極限定理、局部極限定理等。
隨機變數、分布函式列(機率分布列、特徵函式列……)在一定意義下收斂於某隨機變數、分布函式(機率分布、特徵函式……)的有關定理的總稱,主要包括大數定律、小數定律、重對數定律、中心極限定理、局部極限定理……
以大數定理和中心極限定理為核心的極限定理是機率論的基本理論之 一,它們在機率論與數理統計的理 論研究與套用中都具有十分重要的意義。
人物簡介
棣莫弗
棣莫弗是法國–英國數學家。1667年5月26日生於法國維特里勒弗朗索瓦;1754年11月27日卒於英國倫敦。
棣莫弗出生於法國的一個鄉村醫生之家,其父一生勤儉,以行醫所得勉強維持家人溫飽。棣莫弗自幼接受父親的教育,稍大後進入當地一所天主教學校念書,這所學校宗教氣氛不濃,學生們得以在一種輕鬆、自由的環境中學習,這對他的性格產生了重大影響。隨後,他離開農村,進入色拉的一所清教徒學院繼續求學,這裡卻戒律森嚴,令人窒息,學校要求學生宣誓效忠教會,棣莫弗拒絕服從,於是受到了嚴厲制裁,被罰背誦各種宗教教義。那時,學校不重視數學教育,但棣莫弗常常偷偷地學習數學。在早期所學的數學著作中,他最感興趣的是C·惠更斯(Huygens)關於賭博的著作,特別是惠更斯於1657年出版的《論賭博中的機會》(Deratiociniis in ludo aleae)一書,啟發了他的靈感。
棣莫弗在雅格布·伯努利的《猜度術》出版之前,就對機率論進行了廣泛而深入的研究。1711年,他在英國皇家學會的《哲學學報》(Philosophical Transactions)上發表了《抽籤的測量》(De mensure sortis),該文於1718年用英文出版時翻譯成《機會的學說》(The doctrine of chances),並擴充成一本書。他在書中並沒討論上述雅格布·伯努利討論的問題,1738年再版《機會的學說》時,棣莫弗才對上述問題給出了重要的解決方法。
拉普拉斯
法國數學家、天文學家。出生於普通農民家庭,少年時在一所教會學校受到初等教育,隨後進入一所軍事學校學習,並成為那裡的數學教師。18歲時經達朗貝爾推薦成為巴黎軍事學校的數學教授, 1785年當選為法國科學院院士,晚年任法蘭西學院院長,他的研究領域涉及天文、數學、物理、化學等多方面課題,他一生中最主要的精力花費在天體力學上, 而把數學當作解決問題的重要工具, 在運用數學的同時創造和發展了許多新的數學方法,在微分方程、複變函數論、代數學和機率論等方面都有卓越貢獻,並獲得了“法蘭西的牛頓”的崇高聲譽。
拉普拉斯在青年時代就表現出卓越的數學才能。18歲時, 他帶著推薦信去巴黎, 打算拜見當時的大數學家達朗貝爾, 但達朗貝爾卻因 一向反感攀附人情而將其拒之門外。拉普拉斯並不灰心, 他給這位著名學者寫了一封長信, 闡述了自己對力學原理的一般看法,引起了達朗貝爾的重視,他立即熱情洋溢地回信說: “你用不著別人介紹,你自己就是很好的推薦書,理應得到我的支持。”於是,拉普拉斯經達朗貝爾介紹做了巴黎軍事學校的數學教授, 開始了輝煌的學術生涯。
拉普拉斯的名著《天體力學》(1799—1825)是經典天體力學的代表作,全書五卷十六冊,全面總結了牛頓以來天體力學的重要成果, 系統闡述了這個學科的基本問題、力學原理和數學方法,其中包括了他本人的許多重要發現。關於這部巨著有許多傳聞,最著名的一個是:拿破崙在談到這部書時說:“拉普拉斯先生,有人告訴我,你寫了這部關於宇宙體系的大著作,卻始終沒有提到它的創造者(指上帝)。”據說當時拉普拉斯挺直了身子,毫不猶豫地回答:“陛下,我用不著那樣的假設。”
1827年, 拉普拉斯在巴黎去世。他的臨終遺言是:“我們知道的東西是有限的,我們不知道的東西是無窮的。”
