問題總述
考慮一個普通的棋盤,它有8行和8列,總共分成64個方格,設一個方格是1 cm,問能否用32張長2 cm,寬1cm的紙片將棋盤覆蓋住(任兩片紙片不重疊且不能將紙片剪斷),這個問題稱為 棋盤的完全覆蓋問題,顯然很容易作出許多不同的完全覆蓋,要計算不同的完全覆蓋的個數雖然是困難的,但仍可算出來。1961年M.E.Fischer發現這個數是12988816=2×(921)。
m×n棋盤的完全覆蓋
以上問題可推廣到m行n列,mn個方格的棋盤的覆蓋問題,也可以表述為:用2×1的骨牌,去覆蓋一張m×n的棋盤,使得每一個骨牌占兩個方格,而每個方格都有骨牌占住,而且沒有兩塊骨牌重疊。
圖1此時完全覆蓋就未必存在,如3×3棋蓋就不能完全覆蓋。那么對於m和n的哪些值,m×n的棋盤有完全覆蓋呢?不難看到,一個m×n的棋盤有完全覆蓋的充要條件是m和n至少有一個是偶數,換句話說,棋盤中的方格的個數是偶數。
對於m×n棋盤的覆蓋,最為困難的問題要算對覆蓋種數的討論。
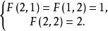
假定我們用F(m,n)表示m×n棋盤覆蓋方式的總數,顯然,我們有
棋盤完全覆蓋問題當n≥3時,讀者不難從下圖看出
F(2,n) =F(2,n-1)+F(2,n-2).
圖2由此可以推得數列{F(2,n)}如下;
1, 2, 3, 5, 8,13,21, 34, 55,.....
聰明的讀者想必都知道,這是著名的菲波那契數列!
至於求F(m,n)的一般公式,那是一項異常艱巨的工作。只知道公元1961年,M.E.費切爾求出8×8棋盤的覆蓋方式的總數為
F(8,8)=2×(901)=12988816.
其難度可想而知。
殘缺棋盤的完全覆蓋
把一個棋盤隨意剪去一些方格,得到的是一張“殘缺棋盤”。那么,關於殘缺棋盤的覆蓋問題又怎么樣呢?
當然,在殘缺棋盤上留下的方格必須是偶數個,否則根本談不上覆蓋。但並不是所有偶數方格的殘缺棋盤都能覆蓋得了,下圖3就是一個有啟迪性的例子。那是一張去掉兩個角的西洋棋棋盤,它不可能用兩方格的多米諾骨牌去覆蓋。事實上,我們可以把多米諾骨牌看成是由一個白格和一個黑格組成。很明顯,凡能用多米諾
圖3骨牌覆蓋的棋盤,其黑格與白格一定一樣多,然而圖上的殘缺棋盤少了二個白格顯然不滿足這個要求。
讀者試一試就會發現,下面兩張各挖去一個方格的3×5殘缺棋盤,一個是可以覆蓋的(圖4(Ⅰ)),而另一個卻不能覆蓋(圖4(Ⅱ))。那么,其中的奧妙在哪裡呢?
圖4(Ⅰ)
圖4(Ⅱ)原來,被挖掉的方格的位置有講究。如果我們將上圖像西洋棋盤那樣把方格黑白相間塗色,那么這一點將會看得更清楚。例如,上圖Ⅱ中白格原本就少,而現在挖去的又是白格,致使黑格比白格淨多兩個,自然就更無法覆蓋了!
再考慮一個8×8棋盤用剪刀剪掉對角上兩個方格,能否放置31張紙片把這個殘缺的棋盤完全覆蓋呢?我們對8×8棋盤上的方格用黑白交替著色,共有32個黑色方格和32個白色方格,如果我們剪掉對角上的兩個方格,我們就剪掉了兩個同樣顏色的方格,比方說是白色的,這樣就剩下32個黑色方格和30個白色方格,因此31張紙片必定覆蓋棋盤上31個黑色方格和31個白色方格,因此對這個殘缺棋盤不能用31張紙片完全覆蓋。
更一般地說,可以取一個黑白交替著色的m×n棋盤,並且任意剪掉若干方格,什麼樣的殘缺棋盤有完全覆蓋呢?由上面所述知,殘缺棋盤具有完全覆蓋的必要條件是黑白方格的個數相同,不過如圖5、6所示,這個條件並不是充分條件。
圖5
圖6
