定義
棋盤多項式
棋盤多項式設C為一棋盤,稱 為C的棋盤多項式,其中 表示k個棋子布到棋盤C的方案數,要求同一行(列)至多有一個棋子。
原理
n個不同元素的一個全排列可看做n個相同的棋子在n×n的棋盤上的一個布局。布局滿足同一行(列)中有且僅有一個棋子。如右圖所示的布局對應於排列41352。
棋盤多項式
棋盤多項式可以把棋盤的形狀推廣到任意形狀,對於棋盤C,令 表示k個棋子布到棋盤C上的方案數。下圖中給出了幾個例子。
rk(C)舉例
棋盤多項式則定義
棋盤多項式為棋盤C的棋盤多項式,假定棋盤C可布n個棋子,但不能超過n個,其中規定 。
特性
棋盤多項式
棋盤多項式性質1:設 是棋盤C的某一指定格子所在的行與列都去掉後所得的棋盤; 是僅去掉該格子後的棋盤。
棋盤多項式則: (1)
棋盤多項式與之對應,有: (2)
推導:對於棋盤C某一格子僅有兩種可能:一種是該格子上有棋子,另一種即該格子上未放置棋子,由此則可得出公式(1)中的兩項。
性質2:如果C由相互分離的C1,C2組成,即C1的任一格子所在的行和列中都沒有C2的格子。
棋盤多項式則:
棋盤多項式此時:
棋盤多項式套用
有禁區的排列
棋盤多項式設 為 i個棋子布入禁區的方案數,i =1,2,3,…,n。則有禁區的布子方案數(即禁區內不布棋子的方案數)為
棋盤多項式舉例
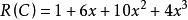
例:1、2、3、4四位工人,A,B,C,D四項任務。1不乾B;2不乾B、C;3不乾C、D;4不乾D。問有多少種可行方案?
棋盤多項式解:棋盤圖案如右圖,其中陰影部分表示禁區,
根據棋盤多項式性質,可得陰影部分棋盤多項式為:
棋盤多項式根據有禁區排列公式,得:
方案數=4!-6(4-1)!+10(4-2)!-4(4-3)!+0(4-4)!=4
