梯形體的定義
上、下面平行且為長方形(特殊情況有兩個相對的面是正方形,即四稜台),四個側面都是梯形由此圍成的立體圖形叫 梯形體.
註:或許沒有梯形體這一名詞,編寫本詞條僅為建築同行們參考計算。
梯形體的體積
梯形體
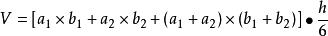
梯形體,CAD圖片註:字母含義參考圖片。

上、下面平行且為長方形(特殊情況有兩個相對的面是正方形,即四稜台),四個側面都是梯形由此圍成的立體圖形叫梯形體.
上、下面平行且為長方形(特殊情況有兩個相對的面是正方形,即四稜台),四個側面都是梯形由此圍成的立體圖形叫 梯形體.
註:或許沒有梯形體這一名詞,編寫本詞條僅為建築同行們參考計算。
梯形體
梯形體,CAD圖片註:字母含義參考圖片。
簡介建築物中作為樓層間垂直交通用的構件。樓梯由連續梯級的梯段(又稱梯跑)、平台(休息平台)和圍護構件等組樓梯成。在設有電梯、自動梯作為主要垂直...投影距離為梯長,梯級的總高為梯高。 中國戰國時期銅器上的重屋形象中已經...
簡介 形式 分類 布置 功用學校簡介 常熟捷梯職業培訓學校在2011年的5月份紮根常熟,是蘇州捷梯職業培訓學校常熟分校。位於蘇州市常熟市書院街19號,交通便利...學校的教學服務提供了堅實的保障。 教學設施 捷梯教育連鎖學校擁有...
學校簡介 常熟捷梯職業培訓學校在2011年的5月份紮根常熟,是蘇州捷梯職業培訓學校常熟分校。位於蘇州市常熟市書院街19號,交通便利...,從而為學校的教學服務提供了堅實的保障。 教學設施 捷梯教育連鎖...
特色並有一定難度的鋸齒形景梯,剪式懸掛景梯及螺旋景梯的設計計算,以供開拓...
城市建築 相關分類 建築分類 種類功能街道、新華街道、新雅街道、秀全街道、獅嶺鎮、炭步鎮、花山鎮、赤坭鎮、梯面鎮...、梯面、芙蓉9個鎮。轄1個街道辦事處,17個居民委員會,181個...下轄新華街道辦事處和花東鎮、花山鎮、梯面鎮、獅嶺鎮、赤坭鎮、炭步鎮、雅瑤鎮...
歷史沿革 行政區劃 地理環境 自然資源 人口1993年撤縣設市後,花都市有新華鎮、花山、花東、獅嶺、赤坭、炭步、北興鎮、梯...街道辦事處和花東鎮、花山鎮、梯面鎮、獅嶺鎮、赤坭鎮、炭步鎮、雅瑤鎮等7個鎮,共188個村民委員會,其中新華街24個,花東鎮45個、花山鎮26個,梯...
歷史沿革 行政區劃 地理環境 自然資源 人口1993年撤縣設市後,花都市有新華鎮、花山、花東、獅嶺、赤坭、炭步、北興鎮、梯...街道辦事處和花東鎮、花山鎮、梯面鎮、獅嶺鎮、赤坭鎮、炭步鎮、雅瑤鎮等7個鎮,共188個村民委員會,其中新華街24個,花東鎮45個、花山鎮26個,梯...
歷史沿革 行政區劃 地理環境 自然資源 人口史前岩石壁畫 南宋 夏圭《雪堂客話圖》 法國拉斯科(Lascaux)描繪原牛的石洞壁畫已知最古老的繪畫位於法國肖維岩洞(Grot...
史前岩石壁畫 中世紀 十八世紀 繪畫體系 引證解釋史前岩石壁畫 南宋 夏圭《雪堂客話圖》 法國拉斯科(Lascaux)描繪原牛的石洞壁畫已知最古老的繪畫位於法國肖維岩洞(Grot...
史前岩石壁畫 中世紀 十八世紀 繪畫體系 引證解釋