定律定義
格里文科定理
格里文科定理
格里文科定理
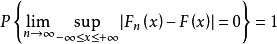
格里文科定理設 是來自以 為分布函式的總體 的樣本, 是經驗分布函式,則有
格里文科定理推導過程
格里文科定理
格里文科定理
格里文科定理
格里文科定理將 的取值離散化,對任意正整數 ,記 表示滿足下述不等式的最大 :
格里文科定理
格里文科定理
格里文科定理
格里文科定理
格里文科定理則事件 發生的機率為 ,其出現的頻率為 ,由大數定律()知
格里文科定理
格里文科定理類似地,考察事件 ,有
格里文科定理定義事件
格里文科定理
格里文科定理於是
格里文科定理注意到
格里文科定理
格里文科定理即 ,記
格里文科定理
格里文科定理
格里文科定理現對任何滿足 的 ,有
格里文科定理
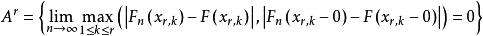
格里文科定理由此可得,當 時:
格里文科定理
格里文科定理
格里文科定理同理
格里文科定理
格里文科定理
格里文科定理
格里文科定理
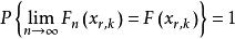
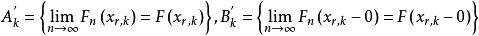
格里文科定理於是,我們證明了 包含於 ,因此
格里文科定理實驗驗證
格里文科定理定律影響
格里文科定理
格里文科定理
格里文科定理定理的含義是 在整個實軸上以機率1均勻收斂於 .於是當樣本容量 充分大時, 能良好地逼近總體分布函式.這是在統計學中以樣本推斷總體的依據.
