簡介
格拉曉夫數(Gr)是流體動力學和熱傳遞中的無量綱數,其近似於作用在流體上的浮力與粘性力的比率。 在研究涉及自然對流的情況下經常出現,類似於雷諾數。 它被認為是以弗朗茨·格拉斯霍夫(Franz Grashof)命名的。 雖然這個術語組合已經被使用,但直到1921年,Franz Grashof去世後的28年,才被命名。 格拉曉夫數(又稱升浮力數或格拉霍夫準數)。
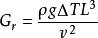
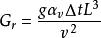
格拉曉夫數其公式為:
格拉曉夫數其中是體積變化係數,對於理想氣體即等於絕對溫度的倒數,g是重力加速度,L是特徵尺度,Δt為溫差,分母是運動黏度的平方。
推導
推導格拉曉夫數的第一步是對體積展開係數進行如下操作:
格拉曉夫數
格拉曉夫數
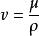
格拉曉夫數應該注意的是,上述等式中的v表示特定的體積,與此推導的後續部分中的 v不同,後者將表示速度。 體積膨脹係數的關於流體密度的部分關係,給定恆壓,可以重寫為
格拉曉夫數
格拉曉夫數
格拉曉夫數其中,是體積流體密度;是邊界層密度。
格拉曉夫數,表示邊界層與散裝液體之間的溫差。
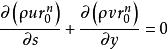
從這裡可以找到格拉曉夫數的兩種不同的方式。 一個涉及能量方程,而另一個包含由於邊界層和體液之間的密度差而引起的浮力。
能量方程
涉及能量方程的這個討論是關於旋轉對稱流動的。 該分析將考慮重力加速度對流動和熱傳遞的影響。 要遵循的數學方程既適用於旋轉對稱流動又適用於二維平面流動。
格拉曉夫數其中,
s是旋轉方向,即平行於表面的方向
u是切向速度,即平行於表面的速度
y是平面方向,即垂直於表面的方向
v是正常速度,即垂直於表面的速度
格拉曉夫數是半徑。
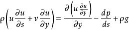
在該方程中,上標n是區分來自平面流的旋轉對稱流。 這個方程的以下特徵成立。
n = 1:旋轉對稱流
n = 0:平面,二維流
g是重力加速度
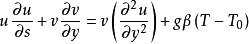
隨著物理流體性質的增加,該方程式擴展到以下內容:
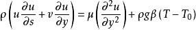
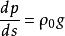
格拉曉夫數從這裡我們可以通過將體積流體速度設定為0(u = 0)來進一步簡化動量方程。
格拉曉夫數該關係表明壓力梯度僅僅是體積流體密度和重力加速度的乘積。 下一步是將壓力梯度插入動量方程。
格拉曉夫數
格拉曉夫數
格拉曉夫數動量方程的進一步簡化來自於體積膨脹係數,密度關係和運動粘度關係,進入動量方程。
格拉曉夫數
格拉曉夫數
格拉曉夫數
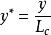
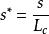
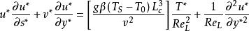
格拉曉夫數從這一點來找到格拉曉夫數,前面的方程必須是非維數的。 這意味著方程式中的每個變數都應該沒有維度,而應該是與幾何形狀和問題設定的比率特徵。 這是通過將每個變數除以相應的恆定量來完成的。 長度除以特徵長度。 速度被適當的參考速度 V除以,考慮到雷諾數,給出。 溫度除以相應的溫差()。 這些無量綱參數如下所示:
格拉曉夫數
格拉曉夫數
格拉曉夫數
格拉曉夫數
格拉曉夫數
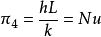
格拉曉夫數表示無量綱參數。 將這些無量綱方程與動量方程組合得出以下簡化方程:
格拉曉夫數其中,
是表面溫度
是體積流體溫度
格拉曉夫數是特徵長度
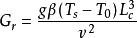
上述方程中括弧中的無量綱參數稱為格拉曉夫數:
格拉曉夫數白金漢姆定理
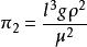
格拉曉夫數將導致格拉曉夫數的另一種形式的維度分析稱為白金漢姆定理。由於邊界層和體積流體中的密度差異,該方法考慮了每單位體積的浮力力。
格拉曉夫數通過整理該方程式得出:
格拉曉夫數
格拉曉夫數
格拉曉夫數參考白金漢姆定理,有9 - 5 = 4個無量綱的群體。 選擇L,,k,g和作為參考變數。 因此,得到如下方程:
格拉曉夫數
格拉曉夫數
格拉曉夫數
格拉曉夫數
格拉曉夫數
格拉曉夫數通過和,我們得到格拉曉夫數:
格拉曉夫數在強制對流中,雷諾數控制流體流動。但是,在自然對流中,格拉曉夫數是控制流體流動的無量綱參數。使用能量方程和浮力與尺寸分析相結合,提供了兩種不同的方法來推導格拉曉夫數。

