簡介
柱面波是波陣面為同軸柱面的波。構想在無限均勻媒質里有一無限長的均勻線聲源,它所產生的波就是理想的柱面聲波。在柱面聲波中,聲壓振幅沿軸向分布是均勻的,沿徑向與距軸的距離平方根成反比。其徑向聲強與離軸的距離的一次方成反比。交通繁忙的公路上,汽車往往連成一條線行駛,這些汽車可認為是線聲源,所輻射的噪聲就是柱面波。
柱面波的波函式
性質
(1)柱面波是由無限長同步線狀振動源(同步線源)產生的波動;
(2)所謂同步線源是指這樣一種振動源,在整條直線上所有點都是一個點源,各個點源的振動完全相同,在簡諧振動下各點的初位相,頻率和振幅完全相同;
(3)在光學上可以用平面波照亮一個極細的長縫來獲得近似的柱面波;
(4)需要注意的是,一般單色線光源不產生柱面波,因其上各點的振動不是同步的。
波函式
柱面波波函式應在柱面坐標系中描述,它的波函式可寫為
柱面波其復振幅為
柱面波其中,A1為線光源的強度。
柱面波用平面波疊加表示
用一組傳播方向垂直於z軸的平面波,可疊加成柱面波。
平面波表示為:
柱面波設T=cosθ,U=sinθ,x=dcosh,y=dsinh。柱面波則是利用不同方向角θ的平面波疊加而成。
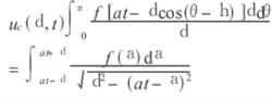
柱面波令at-dcos(θ-h)=a,則有
柱面波將上式計算積分限由0~ π變換到a到a+△t,於是有
柱面波
