定義
柱函式貝塞爾方程 的特解。
分類
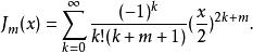
m階貝塞爾函式:
柱函式m階諾依曼函式:
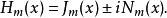
柱函式m階漢克爾函式:
柱函式柱函式的圖像
貝塞爾函式
貝塞爾函式圖如圖1所示:
圖1 貝塞爾函式諾依曼函式
諾依曼函式圖如圖2所示:
圖2 諾依曼函式柱函式的性質
對稱性
柱函式對整數階柱函式有
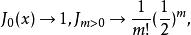
漸進性質
x→0時的行為:
柱函式
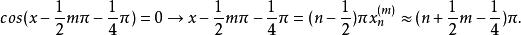
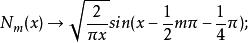
柱函式x→∞時的行為:
柱函式
柱函式
柱函式零點分布
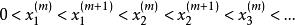
m階貝塞爾函式有無限多個正零點,
柱函式第一個正零點的大小隨著貝塞爾函式的階數增加,
柱函式相鄰階貝塞爾函式的正零點交替出現,
柱函式在x較大時,
柱函式遞推公式
基本遞推公式:
柱函式
柱函式推輪一:
柱函式
柱函式推論二:
柱函式
柱函式一般柱面問題
先把非對稱的條件分解為三角函式;
含三角函式的條件求出對稱柱面解;
再對所得對稱柱面解進行疊加。
1.先把非對稱的條件分解為三角函式;
2.含三角函式的條件求出對稱柱面解;
3.再對所得對稱柱面解進行疊加。

