公式陳述
對於單一複數變數“z”的形式冪級數
柯西-阿達馬公式
柯西-阿達馬公式上式中
則該級數收斂半徑R 由下式給出:
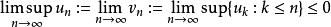
柯西-阿達馬公式其中limsup定義為
柯西-阿達馬公式其中sup為集合的最小上界。
形式冪級數
形式冪級數和多項式的形式定義有類似之處。對於熟悉冪級數的讀者,也可以將其看作是不討論冪級數斂散性,也就是將其中的不定元僅僅看作是一個代數對象,而不是任何具體數值的時候寫出的冪級數。舉例來說,以下的級數式子:
柯西-阿達馬公式
柯西-阿達馬公式
柯西-阿達馬公式如果我們把它當成冪級數來研究的話,重點會放在它的收斂半徑等於1、其對應的冪級數函式是否滿足某些性質等等。但作為形式冪級數來研究時,我們關注的是它本身的結構。我們甚至可以把它簡寫為: 這樣,只關注它的係數。我們完全可以考慮各種係數的形式冪級數。比如說係數為階乘的形式冪級數: ,即使說它對應的冪級數:
柯西-阿達馬公式
柯西-阿達馬公式在 取任何的非零實數值時都不收斂,我們仍然可以將其作為形式冪級數進行運算。
和多項式環中的元素一樣,形式冪級數之間也可以做加減和乘法的運算,具體的計算方式和多項式環一樣。比如說設:
柯西-阿達馬公式
柯西-阿達馬公式
柯西-阿達馬公式
柯西-阿達馬公式那么 與 的和就是:
柯西-阿達馬公式
柯西-阿達馬公式
柯西-阿達馬公式
柯西-阿達馬公式
柯西-阿達馬公式
柯西-阿達馬公式
柯西-阿達馬公式
柯西-阿達馬公式
柯西-阿達馬公式
柯西-阿達馬公式
柯西-阿達馬公式其中 裡面 的係數就是 與 中 的係數的和; 裡面 的係數就是 與 中 的階數相加等於5的項的係數乘積的和 :
柯西-阿達馬公式
柯西-阿達馬公式
柯西-阿達馬公式對每個確定的階數 ,這個計算是有限項(至多 項)的相加,所以在計算形式冪級數的加減法和乘法的時候,不需要像在對冪級數進行計算時一樣,考慮諸如是否絕對收斂、條件收斂或是一致收斂的問題。另外,如多項式的形式運算一樣,形式冪級數也滿足加法的交換律、加法的結合律、乘法的交換律、乘法的結合律以及乘法對加法的分配律。
柯西-阿達馬公式
柯西-阿達馬公式
柯西-阿達馬公式
柯西-阿達馬公式
柯西-阿達馬公式
柯西-阿達馬公式
柯西-阿達馬公式形式冪級數不僅能夠定義乘法,也能定義乘法逆的運算。一個形式冪級數 的逆是指另一個形式冪級數 ,使得 . 如果這樣的形式冪級數 存在,就是唯一的,將其記為 。同時我們也可以定義形式冪級數的除法:當 的逆存在時, 比如說,可以很容易驗證:
柯西-阿達馬公式
柯西-阿達馬公式
柯西-阿達馬公式
柯西-阿達馬公式形式冪級數上的一個重要映射是係數的提取操作:將一個形式冪級數映射到它的 的係數。這個操作常常記作 ,比如說對形式冪級數 ,就有:
柯西-阿達馬公式
柯西-阿達馬公式
柯西-阿達馬公式
柯西-阿達馬公式對以上定義的形式冪級數 ,也有:。又比如:,。提取映射和多項式環中的對應映射一樣,都可以看做是到一個子空間的投影映射。
