1.彈性性能
材料在外力作用下發生變形,如果外力不超過某個限度,在外力卸除後恢復原狀。材料的這種性能稱為彈性。外力卸除後即可消失的變形,稱為彈性變形,表示材料在靜載荷、常溫下彈性性能的一些主要參量可以通過拉伸試驗進行測定。
拉伸試樣常製成圓截面(圖1a)或矩形截面(圖lb)棒體.L為標距,d為圓形試樣的直徑,h和t分別為矩形截面試樣的寬度和厚度,圖中截面形狀用陰影表示,面積記為A。長度和橫向尺寸的比例關係也有如下規定l=10d或l=5d;對於矩形截面試樣,按照面積換算規定l=11.3或l=5.65。試樣兩端的粗大部分用以和材料試驗機的夾頭相連線。試驗結果通常繪製成拉伸圖或應力-應變圖。圖2為低碳鋼的拉伸圖,橫坐標表示試樣的伸長量△l(或莊變ε=△l/l),縱坐標表示載荷P(或應力σ=P/A)。圖中的曲線從原點到點p為直線,pe段為曲線,載荷不大於點e所對應的值時,卸載後試樣可恢復原狀。反映材料彈性性質的參量有比例極限、彈性極限、彈性模量、剪下彈性模量和泊松比等。
材料的力學性能[力學]
材料的力學性能[力學]比例極限
應力和應變成正比例關係的最大應力稱為比例極限,印圖中點p所對應的應力,以σ表示。在應力低於σ的情況下,應力和應變保持正比例關係的規律叫胡克定律。載荷超過點p對應的值後,拉伸曲線開始偏離直線。
彈性極限
試樣卸載後能恢復原狀的最大應力稱為彈性極限,即圖中點e所對應的應力,以σ表示。若在應力超出σ後卸載,試樣中將出現殘餘變形。
比例極限和彈性極限的測試值敏感地受測試精度的影響,並不易測準,所以在有關標準中規定,對於拉伸曲線的直線部分產生規定偏離量(用切線斜率的偏差表示)的應力作為“規定比例極限”。對子彈性極限,規定以產生某一微量殘餘變形對應的應力作為“規定彈性極限”,例如,以產生0.01%殘餘變形所對應的應力為規定彈性極限,記為σ實際上,比例極限和彈性極限很接近。
彈性模量
材料在彈性變形階段內,應力和應變的比值稱為彈性模量。以E表示彈性模量,則E=σ/δ或σ=Eδ。因英國的T·楊首先給出彈性模量的定義,所以彈性模量又稱楊氏模量。
剪下彈性模量
處在剪下彈性變形階段的材料中剪應力τ和剪應變γ也存在正比例關係,其比值稱為剪下彈性模量,簡稱剪下模量。以G表示剪下彈性模量,則G=τ/γ或τ=Gγ。
泊松比
材料沿載荷方向產生伸長(或縮短)變形的同時,在垂直於載荷的方向會產生縮短(或伸長)變形。垂直方向上的應變εl與載荷方向上的應變ε之比的負值稱為材料的泊松比。以v表示泊松比,則v=-εl/ε。在材料彈性變形階段內,v是一個常數。理論上,材料的三個彈性常數E、G、v中,只有兩個是獨立的,因為它們之間存在如下關係:
G=E/2(1+v)。
2.塑性性能
材料的力學性能[力學]載荷卸除後不能消失的變形稱為殘餘變形。材料保持殘餘變形的能力稱為塑性,因而殘餘變形又稱為塑性變形。反映材料塑性性能的參量有屈服極限、延伸率和斷面收縮率等。此外,與塑性性能有關的現象有材料的強化現象和拉伸試樣的頸縮現象。若載入在材料中引起的應力超過 ,則卸載後有一部分變形不能消失,這種變形就是塑性變形。
屈服極限
在拉伸試驗中,若試樣中的應力到達圖2中y點所對應的值,即使載荷不再增大,試樣仍繼續伸長,因而在拉伸曲線上出現一水平段(ys段),這種現象稱為屈服或流動。屈服現象是由於金屬中晶體的滑移造成的。曲線上點y的應力值σ稱為材料的屈服極限,也稱流動極限。對於無屈服現象的材料,工程上規定,用對應於0.2%塑性變形量的應力作為“規定屈服極限”,常稱為屈服強度,記為σ。
強化
屈服階段結束後,拉伸曲線又呈上升狀,即要使試樣繼續變形,就須增大載荷,這種現象稱為材料強化。圖2中sb段曲線為強化階段。在點b以前,試樣的塑性變形是各處均勻的,點b對應於載荷最大值,其值Pb除以試樣原橫截面積A,所得的應力稱為材料的強度極限,以σ表示,即σ=p/A。
頸縮
應力到達強度極限後,試樣的塑性變形開始集中於某一部位,該處的截面積逐漸縮小,這種現象稱為頸縮(圖3)。由於局部截面積收縮,試樣能承受的載荷也就不斷下降,最後到達曲線上的點k時試樣被拉斷。
材料的力學性能[力學]若考慮試樣的頸縮,則應力應為瞬時載荷除以相應瞬時的實際最小面積,這樣作出的應力-應變曲線如圖2中虛線所示。
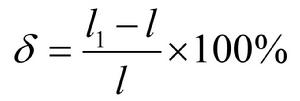
延伸率
試樣拉斷後標距長度l1與原長l之差為總殘餘伸長量,它與原長的比值稱為延伸率。以δ表示延伸率,一般寫成百分比的形式,即
材料的力學性能[力學]
材料的力學性能[力學]
材料的力學性能[力學]由於試樣斷裂前經歷了局部塑性變形,所以延伸率的大小同試樣原長和橫截面積有關。為了進行比較,規定對於長度是直徑10倍的圓截面試樣和l=11.3 的矩形截面試樣,延伸率記為δ;長度是直徑5倍的圓截面試樣和l=5.65 的矩形截面試樣,延伸率記為δ。
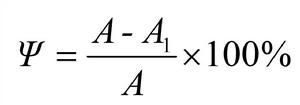
斷面收縮率
設試樣拉斷後斷口處的最小面積為A1,則截面收縮量A-A1與原截面面積A之比值的百分數稱為斷面收縮率。以表示斷面收縮率,則有:
材料的力學性能[力學]對圓形截面試樣,規定用斷口處的最小直徑計算A1;矩形截面試樣則用斷口處的最大寬度h與最小厚度t的乘積表示A,即A=h×t,(圖4)。
材料的力學性能[力學]工程上常將材料區分為兩類,常溫靜載荷下破壞時塑性變形較大(一般為δ>5%)的材料稱為塑性材料;塑性變形較小的材料稱為脆性材料。低碳鋼是典型的塑性材料,它在拉伸試驗過程中表現出的各種力學性能最為複雜。試驗表明,低碳鋼在壓縮時的彈性模量E、屈服極限σ都與拉伸時相同。屈服後試樣越壓越扁,橫截面不斷增大,所以低碳鋼無壓縮強度極限。鑄鐵是典型的脆性材料,拉伸和壓縮時均無屈服現象,破壞時塑性變形量很小。鑄鐵試樣在拉伸破壞時沿橫截面斷裂,強度極限較低,壓縮時沿大約與軸線成45°角的斜面破壞,且壓縮時的強度極限比拉伸時高4~5倍。
3.硬度
固體對外界物體入侵的局部抵抗能力,是比較各種材料軟硬的指標。由於規定了不同的測試方法,所以有不同的硬度標準。總的來看,可分為劃痕硬度、壓入硬度和回跳硬度。各種硬度標準的力學含義不同,相互不能直接換算,但可通過試驗加以對比。
劃痕硬度
主要用於比較不同礦物的軟硬程度,方法是選一根一端硬一端軟的棒,將被測材料沿棒划過,根據出現劃痕的位置確定被測材料的軟硬。定性地說,硬物體劃出的劃痕長,軟物體劃出的劃痕短。
壓入硬度
主要用於金屬材料,方格是用一定的載荷將規定的壓頭壓入被測材料,以材料表面局部塑性變形的大小比較被測材料的軟硬。由於壓頭、載荷以及載荷持續時間的不同,壓入硬度有多種,主要是布氏硬度、洛氏硬度、維氏硬度和顯微硬度等幾種。
回跳硬度
主要用於金屬材料,方法是使一特製的小錘從一定高度自由下落衝擊被測材料的試樣,並以試樣在衝擊過程中儲存(繼而釋放)應變能的多少(通過小錘的回跳高度測定)確定材料的硬度。
4.抗衝擊性能
許多機器或其構件如鍛錘、沖床、鑿岩機、鉚釘槍和炮筒、裝甲板等,在工作中要承受衝擊載荷,它是以很大速度施加到結構或構件上的載荷。由於載入速度很大,所以構件應變的速度也很大。研究表明,若應變速率小於10~10秒,可看成靜載問題;若大於10秒,就必須作為衝擊問題。
受衝擊時彈性變形是以聲速在介質中傳播的,所以大多數材料(尤其是金屬)的彈性變形的變化可以跟上衝擊載荷的變化;而塑性變形的變化難以跟上載荷的變化,所以在衝擊載荷下原來塑性較好的材料也會出現脆化的趨向。脆化顯著地降低了材料抗衝擊的能力。一種材料能否承受衝擊載荷,不僅要看所承受的瞬時載荷值,而且要看載荷在衝擊延續時間內造成的材料變形量。表示材料抵抗衝擊載荷能力的參量有衝擊功和衝擊韌性,可由材料的衝擊試驗來確定。
衝擊功
使試樣在衝擊載荷下破斷所必須的有效功,通常由衝擊試驗求得。試驗中所用的帶缺口的標準衝擊試樣和衝擊試驗機如圖5和圖6所示。試驗中擺錘沖斷試樣過程中所作的功就是衝擊功A,其值為:
A=W(H-H),
式中W為擺錘重量,H為擺錘開始下落時的高度;H為試樣沖斷後擺錘擺起的高度。除了標準的衝擊試樣外,有時也用非標準試樣,它們主要是缺口的形式有些不同。對於某些脆性材料,常採用無缺口衝擊試樣。在研究工作中,有時還採用拉伸衝擊試驗和扭轉衝擊試驗。
材料的力學性能[力學]
材料的力學性能[力學]衝擊韌性
記為α,它等於衝擊功AK除以試樣缺口處在衝擊前的截面積F,即
α=A/F。
衝擊韌性是評定材料衝擊抗力的實用指標,它的大小不僅取決於材料的性能,而且還隨試樣的形狀、尺寸、缺口形式等在很大範圍內變化。擺錘消耗的能量並不全為試樣吸收,有一部分轉化為其他形式的耗散功,所以並不能精確地表示材料在衝擊載荷作用下破壞時所吸收的總衝擊能量。另外,被試樣吸收的能量也主要為缺口附近材料的塑性變形所消耗。因此,衝擊韌性只能作為工程上比較材料抗衝擊性能的相對標準,不同尺寸和缺口形狀的試樣的衝擊韌性不能相互換算。在使用非標準試樣時,對試驗條件須作說明。
α值對材料的某些缺陷很敏感,能夠反映出材料品質,巨觀缺陷和顯微組織方面的微小變化,因而在生產上常用來檢驗冶煉,熱加工和熱處理等的工藝質量。
5.溫度與材料性能的關係
工程中的許多結構處於高溫或低溫環境,如發動機、核反應堆、化工設備、火箭和高速飛機等。溫度對材料的各種力學性能都有影響。就金屬而言,溫度升高往往使其彈性模量和硬度減小,延伸率加大,蠕變和鬆弛(見蠕變)現象更加明顯,而溫度降低則往往使材料脆化。在選擇工程材料時必須考慮到:每一種材料只是在一定的溫度範圍內具有較高的強度。如某些普通塑膠只能在40~50℃以下使用,超出此範圍,強度會明顯降低,甚至不能保持自身形狀。多數鋁台金在200℃以上強度會明顯下降,在低溫下,抗拉,抗剪能力會顯著下降而容易發生脆斷。對於各種在高溫或低溫下工作的結構材料,必須通過試驗測定其力學性能,試驗的載入方式與常溫試驗大體相同。
工程中所採用的材料日益廣泛,材料所處的環境也日益複雜,因此還要從更多的方面研究材料的力學性能,如研究蠕變性能,斷裂韌性以及衝擊載荷下材料的力學性能。
