簡介
本徵載流子濃度
本徵載流子濃度
本徵載流子濃度電流實際上表征了電荷流動的速度。在半導體中有兩種類型的載流子電荷:電子和空穴。它們均對電流有貢獻。因為半導體中的電流很大程度上取決於導帶電子和價帶空穴的數目,所以這些載流子的濃度是半導體的一個重要參數。在理想的本徵半導體中,導帶中的電子濃度值( )等於價帶中的空穴濃度值( ),通常簡單地用 來表示本徵載流子濃度。
公式推算
本徵載流子濃度本徵半導體的費米能級稱為本徵費米能級,或 。
本徵載流子濃度為導帶電子的熱平衡濃度:
本徵載流子濃度
本徵載流子濃度為價帶空穴的熱平衡濃度:
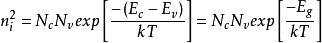
本徵載流子濃度若將上二式相乘,則有:
本徵載流子濃度或
本徵載流子濃度
本徵載流子濃度
本徵載流子濃度其中為禁頻寬度,k為玻爾茲曼常數。對於給定的半導體,當溫度恆定時,為定值,與費米能級無關。
補充說明
本徵載流子濃度
本徵載流子濃度
本徵載流子濃度
本徵載流子濃度
本徵載流子濃度T=300K時,矽的本徵載流子濃度可由上式推出。時,由上式計算出的值為。而T=300K時,矽的公認值約為。這一差異可能來自以下這些原因:首先,有效質量是由低溫下進行的迴旋共振實驗測定的。既然有效質量為實驗測定值,而且它是粒子在晶體中運動情況的度量,那么這個參數就可能與溫度有關。其次,半導體的狀態密度函式是由三維無限深勢阱中的電子模型推廣出來的。這個理論函式可能與實驗結果不十分吻合 。
溫度依賴關係
本徵載流子濃度隨溫度變化關係
本徵載流子濃度
本徵載流子濃度本徵載流子濃度強烈依賴於溫度變化。右圖顯示了利用上式得到的矽、砷化鎵和鍺中關於溫度的函式曲線圖。如圖所示,對於這些半導體材料,隨著溫度在適度範圍內變化,的值可以很容易地改變幾個數量級 。

