基本介紹
本地電話交換局要實現本地電話交換功能,構成本地電話網的電話交換局(包括端局與匯接局)。
本地電話網(local telephone network)簡稱本地網,是全國電話網的一部分。是在一個長途編號區範圍內所組成的電話網路。本地電話網由用戶環路、本地電話交換設備、本地交換局間中繼電路及本地交換局和長途交換局間中繼電路組成。電話網由相應的支撐系統(如電信管理網、公共信道信令網和同步網等)來支持。本地電話網提供本地的電話業務、低速數據業務和傳真業務,還可以接入國內長途電話業務和國際電話業務、行動電話業務以及可以在電話網上傳輸的其他業務(如尋呼業務) 。
通信網路
電話、傳真信息、電子郵件、計算機數據,還有廣播和電視信號,都是通過一個複雜的全球遠程通信網路從一個地方傳送到另一個地方的。所有不同的電信形式都被轉變成能通過網路傳送的信號。信號總是在網路的兩點之間傳輸(例如,兩個電話聽筒或傳真機),電話交換機的控制電路指引信號通過網路,這種電信網路叫作 交換網路。廣播和電視網路,信號從一個發射機被傳送到許多接收器,這種網路叫作 廣播網路。
連線到標準電話線的所有的電信設備(電話、傳真機和個人計算機)都是由電話線連線到本地電話交換局的。本地交換局通過每條電話線所獨有的電話號碼進行識別。一個地區的所有本地交換局都和交換總局相連線,相應地,交換總局與其他交換總局相連線,繼而形成全國網路。與網路相連線的還有移動通信電話設定的專門的交換局和網際網路服務提供商。多數信息(語音、傳真信息和計算機數據)以模擬形式傳人和傳出本地交換局,以數字形式在本地交換局之間進行傳輸。
圖1
圖2在網路上將電話交換局連線起來有幾種不同的方法。一些是地下線纜,主要有電纜和光纖電纜。光纖電纜是以光波為載體來傳送信號。還有一些是使用微波來建立連線。跨洋的國際連線線路通過環繞地球軌道運行的衛星和橫跨海床的電纜構成 。
圖3電話網路
在公眾電話網路上傳輸數位訊號的主要設備和線路如圖4所示,包括:
(1)本地迴路(local loop):從電話用戶到本地電話交換局之間的線路,這是用雙絞線構成的迴路。本地迴路也稱訂戶迴路(subscriber loop)。由於這段路程是傳輸模擬信號的迴路,因此就要開發新的技術和設備來解決傳輸數位訊號的問題,以克服計算機接入網際網路的障礙,這就是我們常聽到的“最後一英里’’的問題。
(2)中繼線/幹線(trunk):在兩個交換局或交換機之間的通信線路。交換局(switching office)也稱電話局(central office,CO)是連線指定幾何區域的所有電話線的交換站,裝備了為用戶互連通信線路的電話交換設備,用於連線電話用戶的呼叫。
(3)數據機(modem/modulator-demodulator):使計算機能夠通過標準電話線傳輸數位訊號的通信設備。由於計算機處理的信號是數位訊號,而本地迴路傳輸的信號是模擬信號,因此需要用數據機進行相互轉換。傳送數據時,要把計算機輸出的數位訊號調製成模擬信號,接收時則要將模擬信號解調成數位訊號。除了傳輸和接收數據外,高級的數據機還具有自動撥號、應答和重撥等功能。數據機有內置式和外置式之分,前者通常裝在計算機內部,後者要用電纜把計算機和數據機連線在一起。
(4)終端局(end office,EO):靠近家庭或辦公室的電話交換局。由於從數據機來的信號是模擬信號,而在中繼線上傳輸的信號是數位訊號,因此在終端局中也需要模擬信號和數位訊號的相互轉換功能,這個功能由圖中的編解碼器提供。
(5)編解碼器(codec/coder-decoder):用於將模擬信號轉換成數位訊號或把數位訊號轉換成模擬信號的裝置。它使用1962年開發的脈衝編碼調製(PCM)技術,採樣頻率為8kHz。
(6)長途電話局(toll office):長途呼叫的交換中心。
(7)數據機堆(modem bank):連線到服務機並由ISP或LAN操作員維護的許多數據機,允許遠程用戶撥打單一電話號碼就可在堆中使用空閒的數據機。
(8)網際網路接人服務提供商(ISPl和ISP2)使用和維護的計算機。
根據圖4,在計算機與ISP的計算機之間,數字數據在電話網路上的傳輸過程 。
圖4 在公眾電話網路上的數位訊號傳輸設備和線路相關介紹與發展
電話網路設備可以大致分成4個主要類別:裝置、本地迴路、中繼電路和交換局 。
交換局
交換局是永久或臨時互連訂戶的中心位置。電話公司的交換機位於交換局中。交換機是可程式矩陣,它們在兩個訂戶之間提供臨時的信號路徑。電話機和數據數據機通過本地迴路連線到交換局中的交換機上。直接與本地迴路連線的交換局通常稱為 本地交換局,有時稱為撥號交換機或本地撥號交換機。第一個電話交換局安裝於1878年,即發明電話之後僅僅兩年。 中心交換局又稱為中心電話交換局、CO(中心局)、中心導線中心,或簡稱為中心 。
電話交換局的目的是為將要在兩方之間完成的呼叫提供路徑。要處理呼叫,交換機必須提供3個主要功能:
· 識別訂戶
· 安排或建立通信路徑
· 監視呼叫過程
本地中心電話交換局
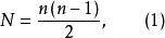
第一批電話機是設備齊全的電話機,因為它們配備有自己的電池、擴音器、話筒、電話鈴和振鈴電路。電話機最初是通過電線桿之間的大尺寸鐵導線直接連線起來的,對於你想連線的每個訂戶,都需要有專用的電纜對和電話機。圖5(a)示出了利用單個電纜對互連的兩部電話機。這是相當簡單的;但是,如果有許多訂戶希望直接連線到一起,那將變得非常麻煩、昂貴和不切合實際。例如,如圖5(b)所示,如果要把一個用戶和其他5個用戶互連起來,就需要5部電話機和5個電纜對。要完全互連4個用戶,需要6個電纜對,並且每個訂戶需要3部電話機。圖5(c)對此進行了演示 。
圖5(a)
圖5(b)
圖5(c)互連任意數量的站時需要的線路數量由下列等式確定:
本地電話交換局
本地電話交換局其中, =站(參與者)的數量
本地電話交換局=互連線路的數量
互連100個參與者所需的專用線路的數量是
本地電話交換局此外,每個站還需要100部備用電話或者具有把一部電話切換到99條線路中任意一條的能力。
這些局限性導致了中心電話交換局的迅速發展。電話交換局允許與它連線的任何一部電話互連到與交換局連線的其他任何電話,而不需要對每個連線使用單獨的電纜對和電話。通常,一個社區只由一個電話公司提供服務。社區被劃分成區,每個區由不同的中心電話交換局提供服務。接受服務的站的數量和密度決定了在給定社區中建立的區的數量。如果一個區中的訂戶希望呼叫另一個區中的站,最少需要兩個本地交換局 。
接線員輔助的本地交換局
第一個商業電話交換台於1878年1月28日在Connecticut的New Haven投入運行,這標誌著公用交換電話網路的誕生。這個交換台為只連線8條線路(顯然,其中一些是合用線路)的21部電話提供服務。同年2月17日,Western Union公司在加州的舊金山開辦了第一個大城市交換局,2月21日,New Haven區電話公司發布了世界上第一份電話目錄,它只有一頁,僅列出了50個名字。在發布這個目錄後不久,Boston電話速遞公司就發布了比較全面的通信錄。
第一批本地電話交換局是 交換台(有時稱為接線板),其中的人工連線是使用插接線和插孔完成的。所有訂戶站都通過本地迴路連線到交換台的插孔上。當有人想啟動呼叫時,他們可以通過轉動他們電話上的搖把,向交換台傳送振鈴信號。振鈴信號啟動交換台上的繼電器,繼電器再點亮該線路插孔上方的監視燈,如圖6所示。人工交換台一直使用到1978年,Bell System公司於這一年更換了它們在洛杉磯附近加利福尼亞海岸的SantaCatalina島上的最後一台塞繩式交換台 。
圖6接線板配置在電話交換局的早期,使用同一個本地迴路,每個電話線路可以將10個或10個以上的訂戶(居民)連線到中心交換局。這稱為合用線路,儘管一次只能有一個訂戶使用他們的電話。合用線路比專用線路便宜,但還是不夠方便。專用電話線路比較昂貴,因為只有一個居民或企業的電話可以連線到本地迴路上。
把100個專用電話線路連線到一個交換局需要100個本地迴路以及一個配備有100箇中繼器、插孔和監視燈的交換台。當有人想啟動電話呼叫時,他們將向交換台打電話。接線員回答呼叫時說的話是“中心”。主叫方告訴接線員他們想連線的人。接線員然後將給目的地打電話,當有人接電話時,接線員將從插孔中拔下她的插頭,然後利用兩端有插頭的特殊插接線把主叫方和被叫方連線起來。這種系統稱為鳴鈴系統。如果只有幾個訂戶連線到交換台,接線員在確定哪些插孔用於哪個訂戶時(通常是根據名字)幾乎不用費什麼勁。但是,隨著電話普及率的提高,給每個訂戶線路分配一個惟一的電話號碼很快成為必要。使用4個數字的交換台可以提供10 000個電話號碼(0000~9999)。
圖7(a)給出了連線4個空閒訂戶線路的中心局接線板。注意,任何一條電話線路都沒有和其他電話線路連線。圖7(b)顯示了如何通過連線線路1的插孔和線路2的插孔之間的插接線,使用這個臨時連線把訂戶1和訂戶2連線起來。使用插接線可以把任何訂戶和其他用戶連線起來 。
圖7(a)中心局(無互聯)
圖7(b)中心局(有互聯)自動中心局交換機和交換局
隨著電話數量在美國的增長,接線員輔助的呼叫和人工接線板很快就無法滿足服務的高要求了。因此,人們開發了自動交換機和交換局系統。
自動交換系統是由感測器、交換機以及其他電氣和電子設備組成的系統,它允許訂戶向交換機直接發出指令,而不必通過接線員。此外,自動交換機無須人員輔助且不使用插接線即可執行訂戶之間的互連。
1890年,在堪薩斯州的堪薩斯市,一位名叫Alman Brown Strowger的企業家擔心電話公司接線員把他的業務轉給其競爭者。因此,他使用機電式繼電器發明了第一個自動交換系統。據說,Strowger是使用紙盒、圓柱銷和鉛筆發明他的原始設計的。
隨著Strowger交換機的出現,機械撥號機制被添加到基本電話機中。機械撥號盤允許訂戶用手撥打他們想要呼叫的那一方的電話號碼。在輸入(撥打)一個數字後,交換機中的繼電器將把主叫方連線到另一個繼電器。繼電器稱為步進式繼電器,因為在輸入數字時,系統將逐步通過一系列繼電器。這個步進式過程一直持續到輸入電話號碼的所有數字。這種交換機稱為步進式(SXS)交換機或步進機,更常見的叫法也許是Strowger交換機。步進式交換機是漸進式交換機的示例,這意味著主叫方和被叫方之間的連線是通過一系列步驟完成的。
在20世紀初到20世紀60年代中期之間,Strowger交換機逐漸取代了人工交換台。Bell System公司在1919年開始使用步進機,並且一直使用到20世紀60年代早期。1938年,Bell System公司開始使用另一種稱為縱橫(XBAR)交換機的機電式交換機代替步進機。第一台1號縱橫交換機於1938年2月14日在紐約Brooklyn的Troy大街中心局投入使用。縱橫交換機使用的是安裝在水平或垂直條上的數組接觸點(稱為交叉點)。電磁鐵使垂直條和水平條交叉,在被叫號碼確定的坐標處形成接觸。最通用和最流行的縱橫交換機是#5XB。雖然縱橫交換機是對步進式交換機的改進,但是它們的壽命卻很短,並且它們中的大多數已經被ESS(電子交換系統)所取代。
1965年,AT&T引進了1號ESS,它是在PSTN上使用的第一個計算機控制的中心局交換系統。ESS交換機與其前身的區別在於它們結合了SPC(存儲程式控制),它使用軟體控制幾乎所有的交換功能。SPC提高了交換機的靈活性,極大地提高了它的可靠性,並且允許從遠距離位置自動監視維護。今天使用的幾乎所有的交換機都是電子存儲程式交換機。SPC系統需要的維護很少,並且需要的空間大大少於它們的機電式前身。SPC系統使電話公司能夠提供今天使用的大量服務,如三方通話、呼叫等待、主叫方識別、呼叫轉移、內部呼叫、速撥、返回呼叫、自動重撥和呼叫跟蹤。電子交換系統已經從1號ESS發展到5號ESS,這是由Bell System公司開發的最先進的數字交換機。
自動中心局交換機為全自動中心交換局鋪平了道路,它允許世界上任何地方的呼叫方直接給世界上其他任何人打電話。自動中心交換局把電話號碼解釋成PSTN上的地址。網路將自動查找被叫號碼、測試它的可用性,然後完成呼叫 。
電路、電路交換機和電路交換
電路僅僅是通過其傳播語音、數據或視頻信號的路徑。在遠程通信術語中,電路是源和目的地之間(即主叫方和被叫方之間)的路徑。電路有時稱為線路(如電話線路)。電路交換機是允許電路相互連線的可程式矩陣。電話公司電路交換機把輸入迴路或中繼電路互連到輸出迴路或中繼電路上。交換機能夠把與它連線的任何電路互連到其他任何與它連線的電路上。因此,這個交換過程稱為電路交換,公用電話網路因此被認為是電路交換網路。電路交換機是透明的。也就是說,它們互連電路時不改變電路上的信息。執行了電路交換操作以後,透明的交換機僅僅是在兩個電路之間提供了連續性 。
本地電話交換局和通話區
電話交換局被戰略地安置在一個城市的四周,以便訂戶位置和交換局之間的距離最小,同時最最佳化與任何一個交換局連線的站的數量。交換局覆蓋的服務區域的規模取決於訂戶密度和訂戶的呼叫模式。目前,美國有20000多個本地交換局。
直接與本地迴路連線的交換局被適當地稱為本地交換局。由於本地交換局位於其服務區域的中心,所以它們經常被稱作CO(中心局)。本地交換局可以直接互連其本地迴路連線到同一個本地交換局的任意兩個訂戶。圖8(a)示出了一個有6部電話與其連線的本地交換局。注意,這6個電話號碼全都以87開頭。這個本地交換局的一個訂戶只需撥打另一個訂戶的7位數字電話號碼,就可以呼叫這個訂戶。交換機將執行完成呼叫所需的所有測試和交換操作。在單個本地交換局內完成的電話呼叫稱為局內呼叫(有時稱為交換機內呼叫)。圖8(b)示出了如何通過公用本地交換機互連由同一個交換局服務的兩個站(874-3333~874.4444)。
在人工接線板時期,為了區分一個本地交換局與另一個本地交換局中的電話號碼,並且為了使人們更容易記住電話號碼,每個交換局都起了一個名字,如Bronx、Redwood、Swift、Downtown、Main等。電話號碼的頭兩個數字來源於交換局名字的前兩個字母。為了使名字與撥號電話相適應,從2到9的每個數字都分配有3個字母。最初,只分配了26個字母中的24個字母(沒有包括Q和Z);但是,為了滿足電話號碼個性化的需要,現代的電話分配了所有26個字母(數字7和9都分配有4個字母)。作為一個示例,Bronx交換局中的電話號碼以27開頭(電話撥號盤上的B相當於數字2,R相當於數字7)。使用這個系統,7位數字的電話號碼就可以提供100 000個電話號碼。例如,分配給Bronx交換局的電話號碼是270-0000~279-9999。同樣可以給Redwood交換局分配100 000個電話號碼(730-0000~739-9999) 。
圖8(a) 本地交換局(無互聯)
圖8(b)本地交換局(把874-3333連線到874-4444)
