什麼是朗格係數法
朗格係數法是以設備購置費為基礎,乘以適當係數來推算項目的靜態投資。這種方法比較簡單,但沒有考慮設備規格、材質的差異,所以精確度不高。
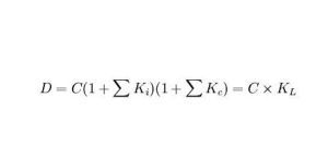
朗格係數法的計算
D=C(1+∑Ki)·Kc=CKL
D——建設項目靜態投資;C——主要設備費用;KL~朗格係數;Ki——管線、儀表、建築物等項費用的估算係數;KC——管理費、契約費、應急費等項費用的總估算係數。
朗格係數法的優劣勢
套用朗格係數法進行工程項目或裝置估價的精度仍不是很高,其原因如下:
(1)裝置規模大小發生變化的影響;
(2)不同地區自然地理條件的影響;
(3)不同地區經濟地理條件的影響;
(4)不同地區氣候條件的影響;
(5)主要設備材質發生變化時,設備費用變化較大而安裝費變化不大所產生的影響。
儘管如此,由於朗格係數法是以設備費為計算基礎,而設備費用在一項工程中所占的比重對於石油、石化、化工工程而言占45%-55%,幾乎占一半左右,同時一項工程中每台設備所含有的管道、電氣、自控儀表、絕熱、油漆、建築等,都有一定的規律。所以,只要對各種不同類型工程的朗格係數掌握得準確,估算精度仍可較高。朗格係數法估算誤差在 10%o/15%。
朗格係數法算例
某工業項目根據方案提出的主要設備,按照現行市場價格計算,設備費為800萬元。已知與設備配套的其它輔助費用(含土建費)係數為設備費的155%,間接費率為設備及其輔助費用的15%,試估算擬建項目的投資額為多少?
答案:D=C(1+∑Ki)·Kc=800*(1+1.55)*(1+0.15)=2346萬元

