簡介
最簡對數方程是一種特殊的對數方程,指未知數指數為1的對數方程。
形如logx=b(a>0,a≠1)的方程稱為最簡對數方程。根據對數的定義,原方程轉換為指數式x=a ,它是最簡對數方程的惟一解。
解法
簡單對數方程的解法步驟如下:
①化指法;
②同底法;
③換元法;
④數形結合法。
總體上,解對數方程問題可分為三步:首先由條件求x的取值範圍;然後根據如下情況求解;第三步檢驗解。
求解
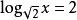
最簡對數方程1、解方程。
最簡對數方程根據對數的定義可得:。由於x=2在方程未知數的取值範圍x>0內,並且適合原方程,所以它是原方程的解。
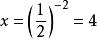
最簡對數方程2、解方程。
最簡對數方程根據對數的定義可得:。由於x=4在方程未知數的取值範圍x>0內,並且適合原方程,所以它是原方程的解。
對數方程
在對數符號後面含有未知數的方程,叫做對數方程。解對數方程的基本思想:化同底或換元;且可利用函式圖象和二分法可以求對數方程的近似解。對數對解冪是未知的方程是有用的。它們有簡單的導數,所以它們經常用在解積分中。
