最小相位頻移鍵控的概念
最小相位頻移鍵控最小相位頻移鍵控一種能夠產生恆定包絡、連續相位信號的數字鍵控調製方式 ,又稱最小頻移鍵控,常簡寫為MSK。
最小頻移鍵控(Minimum Frequency Shift Keying,MSK)是FSK(頻移鍵控)的一種改進型,這裡“最小”是指能以最小的調製指數(即0.5)獲得正交信號,MSK比PSK傳送的比特速率更高,且帶外的頻譜分量比2PSK衰減得更快。
MSK的基本原理
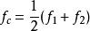
最小相位頻移鍵控是2FSK(二進制頻移鍵控)的一種特殊情況,具有正交信號的最小頻差,在相領符號交界處信號的相位保持連續。這類連續相位FSK可以表示為
最小相位頻移鍵控
最小相位頻移鍵控
最小相位頻移鍵控
最小相位頻移鍵控其中, 為隨時間連續變化的相位, 為未調載波頻率, 為已調信號幅度。由2FSK信號正交條件可知,最小頻差為
最小相位頻移鍵控
最小相位頻移鍵控
最小相位頻移鍵控
最小相位頻移鍵控
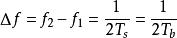
最小相位頻移鍵控這裡, 和 分別為2FSK信號的兩個頻率, 為信號碼元間隔, 為二進制信息的間隔。則有
最小相位頻移鍵控
最小相位頻移鍵控
最小相位頻移鍵控表示初相位。則MSK信號可寫為
最小相位頻移鍵控
最小相位頻移鍵控分別表示二進制信息1和0。
同時,最小相位頻移鍵控也可以看作是正弦脈衝形成的OQPSK。
MSK的性質
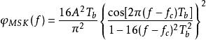
功率譜
MSK信號的功率譜為
最小相位頻移鍵控
最小相位頻移鍵控
最小相位頻移鍵控
最小相位頻移鍵控
最小相位頻移鍵控
最小相位頻移鍵控與OQPSK信號的功率譜相比,MSK信號的功率譜近似與 成反比,因此能量更集中於頻率較低處。 以99%能量集中程度為標準,則MSK信號的頻頻寬度約為 ,而QPSK的頻頻寬度約為 。但MSK信號的譜零點頻寬(即主瓣寬度)較寬,為 ,而QPSK信號則為 。
解調與誤碼性能
MSK信號可以採用鑒頻器的方法進行非相干解調,但其誤碼性能與正交2FSK相干解調時相比要下降約3.6dB。
同時,MSK信號也可以用差分解調的方法,其誤碼性能介於差分相干解調PSK和差分編碼相干解調PSK之間。
MSK信號的相位連續性
最小相位頻移鍵控
最小相位頻移鍵控
最小相位頻移鍵控
最小相位頻移鍵控
最小相位頻移鍵控相位連續是指不僅在一個碼元持續期間相位連續,而且在從碼元到轉換的時刻,兩個碼元的相位也連續。對於MSK調製,要保證MSK信號相位在碼元轉換時刻連續,則要求對第k個碼元的相位常數在t=時間內應滿足如下約束條件:
最小相位頻移鍵控
最小相位頻移鍵控
最小相位頻移鍵控
最小相位頻移鍵控
最小相位頻移鍵控
最小相位頻移鍵控
最小相位頻移鍵控=+(-)=

