最大隸屬原則Ⅰ
最大隸屬原則
最大隸屬原則
最大隸屬原則
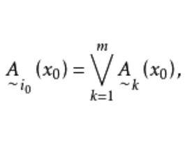
最大隸屬原則最大隸屬原則Ⅰ 設論域上有m個模糊子集(即m個模型),構成一個標準模型庫,若對於任一,有,使得
最大隸屬原則
最大隸屬原則
最大隸屬原則則認為相對隸屬於。
最大隸屬原則
最大隸屬原則
最大隸屬原則
最大隸屬原則【例1】 學習成績的模糊識別 在論域(分數)上確定三個表示學習成績的模糊集=“優”,=“良”,=“差”,當一位同學的數學成績為88分時,該同學的數學成績是評為優、良,還是差?
最大隸屬原則
最大隸屬原則
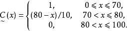
最大隸屬原則解 先建立模糊集的隸屬函式,用指派方法建立論域(分數)的的隸屬函式:
最大隸屬原則
最大隸屬原則
最大隸屬原則
最大隸屬原則將代入隸屬函式計算,得
最大隸屬原則
最大隸屬原則根據最大隸屬原則Ⅰ,該同學的數學成績相對於三個模型應隸屬於,可評為良 。
最大隸屬原則Ⅱ
最大隸屬原則
最大隸屬原則
最大隸屬原則
最大隸屬原則最大隸屬原則Ⅱ 設論域上有一個標準模型,待識別的對象有n個,,如果有某個滿足
最大隸屬原則
最大隸屬原則則應優先錄取。
最大隸屬原則
最大隸屬原則
最大隸屬原則
最大隸屬原則
最大隸屬原則【例2】學習成績的模糊識別 設論域(3個學生的英語成績),在U上定義一個模糊集=“良”,待識別的對象有3個:,仍選用例1中模糊集=“良”的隸屬函式。
最大隸屬原則
最大隸屬原則現將分別代入計算,得
最大隸屬原則
最大隸屬原則
最大隸屬原則由於82分隸屬=“良”的程度最大,所以第二個學生的英語成績最靠近“良” 。

