簡介
普萊姆利公式是柯西型積分的邊界值公式。
普萊姆利公式
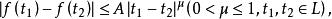
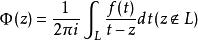
普萊姆利公式設柯西型積分 中的f(t)滿足赫爾德條件,即其中A為一常數。
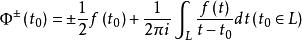
普萊姆利公式又設L為一光滑弧,並取定一方向為正向(例如,當L為封閉曲線時,可取為逆時針方向),則Φ(z)當z從L的正側(正向前進方向的左側)和負側(右側)趨向於L上一點t時(當L為開口時,t不是端點),其極限值(邊值)Φ (t)和Φ (t)存在,且其中右端積分要理解為柯西主值積分。這個公式稱為普萊姆利公式,它是求解邊值問題的基本工具。
特殊情況
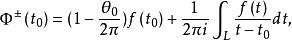
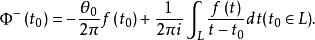
普萊姆利公式
普萊姆利公式如L分段光滑,t為L上的一角點,其兩個單邊切線在正側所張的角為θ0,則上式成為
普萊姆利公式在蘇聯的書刊中常被稱為索霍茨基公式。當f(t)∈L (p>1)(即p次勒貝格可積)時,普萊姆利公式對L上點t幾乎處處成立。
