簡介
普朗克動量在物理學裡, 普朗克動量是普朗克單位制的動量單位,標記為 。用方程表達,普朗克動量是
普朗克動量
普朗克動量
普朗克動量
普朗克動量
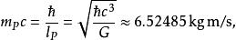
普朗克動量其中,是約化普朗克常數,是普朗克長度,是光速,是萬有引力常數。
普朗克動量
普朗克動量
普朗克動量與大多數其它普朗克單位不同,普朗克動量發生於人尺寸的狀況。例如,一個的人,以的平均速度走路,他的動量大約為。
普朗克單位制
普朗克動量
普朗克動量
普朗克動量
普朗克動量
普朗克動量
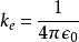
普朗克動量普朗克單位制是一種計量單位制度,由德國物理學家馬克斯·普朗克最先提出,因此命名為普朗克單位制。這種單位制是自然單位制的一個實例,經過特別設計,使得某些基礎物理常數的值能夠簡化為1,這些基礎物理常數是萬有引力常數,約化普朗克常數,在真空里的光的光速,庫侖常數,其中是真空電容率,也就是電常數,玻爾茲曼常數。
普朗克動量
普朗克動量
普朗克動量
普朗克動量
普朗克動量上述每一個常數都至少出現於一個基本物理理論:在廣義相對論與牛頓的萬有引力定律、在量子力學、在狹義相對論、在靜電學、在統計力學與熱力學。實際上,以上的五個常數在許多物理定律的代數表達式中多次出現,因此引入普朗克單位制可以將這些代數表達式簡化,普朗克單位制也因此成為了理論物理學一個非常有用的工具。在統一理論方面的研究,特別如量子引力學中,普朗克單位制能夠給研究者一點大概的提示。
參閱
•量綱分析
•物理常數
•普朗克尺寸
•普朗克粒子
•普朗克紀元
•高斯單位制
