原理
時間陷阱分析法精益的衡量標準:提高流程速度是精益的主要目標。精益的流程是指流程周期效率超出(增值時間超出該流程總提前期)25%。
流程周期效率=增值時間÷總提前期
其中:增值時間是客戶認為生產產品和服務所必需的工作量:總提前期是生產流程從開始到結束要花費多長時間。
(2)流程周期效率因工作內容的不同而不同,世界一流水平平均為25%,見表1:
(3)對照上述情況.評估在這些流程中降低成本的潛在可能性。
套用
時間陷阱分析法(1)找出每個活動環節花費的時間,一般利用調查問卷的形式取得時間數據,然後取其平均值:
(2)運用ABC法區分每個流程中的增值活動和非增值活動I81:
時間陷阱分析法在計算活動時間總和的時候,流程中的並行環節時間為Bj每個並行環節的總時間取時間大者,如果圖2中假設Bj大於B(j+1)那么該並行環節時間則取Bj;對於串列的活動環節時間總和就是各環節的時間t;加和;那么圖2流程的周期則為:
時間陷阱分析法對於每個複雜流程,也是如圖2所示的結構,因此計算過程也類似.其公式如下:
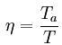
時間陷阱分析法(4)計算出流程運作效率η,計算方法如公式2:
時間陷阱分析法(5)把計算出來的各個流程運作周期效率與表1中對應的數據比較,排列出企業各流程與世界一流水平和一般水平的比較圖,供流程再造的實施者參考,在最佳化或重新設計流程中予以重點考慮:
(6)流程運作效率與國際先進水平差距較大的流程,被視為流程再造中的重點解決對象,也就是常說的核心流程。
案例分析
時間陷阱分析法(1)對原業務流程分析。原採購業務流程如圖3所示:
對上述採購業務流程各步驟描述如下:
①採購部根據生產製造部的年度生產經營計畫制定年度採購計畫:
②採購部根據集團公司的供應商名錄與相應的供應商簽訂年度採購契約:
③簽訂年度採購契約時要經過財務部審價。主管副總、總經理和企管室審核:
④採購部每月須根據生產部的月度生產計畫,制訂出月度採購計畫。月度採購計畫需要經過部門經理的審批:
⑤採購員根據批准的月採購計畫下達採購訂單:
⑥由供應商執行採購訂單並完成後,品質部驗收供應商提供的物資。合格的辦理入庫手續,不合格的辦理不合格品處理手續:
⑦合格品入庫後,庫管員根據投料計畫來分配到車間:
⑧採購員根據入庫單和發票到財務處去掛帳。
時間陷阱分析法
時間陷阱分析法Ta=t2=24小時
根據公式(2)得:η=24+330.9=7.25%所以採購業務流程的運作效率為7.25%,與表l比較,可以得出如下結論:
根據表2從流程巨觀整體來分析,以上業務活動的處理時間數據,計算出流程周期效率=增值時間÷流程總花費時問=7.25%,與表l中所列的事務性流程的一般周期效率為10%。世界一流水平的周期效率為50%相比較,可以看出MX公司的採購業務這種事務。
