基本概念
在各類工業自動控制系統中,有很大一類屬於開關量的自動控制系統,包括繼電接觸控制系統、半導體邏輯控制系統和順序控制系統等。構成這類開關控制系統的基礎是開關電路。
如果電路某時刻的輸出狀態取決於該時刻的輸入信號的邏輯組合,稱為組合開關電路;如果電路某時刻的輸入狀態不僅與該時刻的輸入信號有關,而且還與電路在該時刻之前的狀態有關,則稱為時序開關電路。一般來說,組合開關電路的設計比較簡單,而時序開關電路的設計需要做較多的工作。
時序開關電路的設計
設計時序開關電路的關鍵在於根據不同情況,採用適當方法找出三個要素,即:起動信號、保持信號和停止信號。把三要素組成邏輯式,再按邏輯式畫出電路圖或矩陣圖。有時三個要素可合併為兩個或一個,有時每個要素又由若干信號組合而成。
信號的長短性
實際輸入信號的時間有長有短,如果起動信號的持續時間長於輸出信號的動作時間,稱為長起動信號;反之,為短起動信號。如果停止信號的結束時間晚於起動信號的結束時間,稱為長停止信號;反之,為短停止信號。
時序開關電路圖1
時序開關電路
時序開關電路
時序開關電路
時序開關電路
時序開關電路
時序開關電路
時序開關電路
時序開關電路
時序開關電路
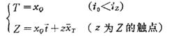
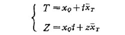
時序開關電路圖1是假設起動信號為長信號( ),停止信號為簡訊號( )的情況。這時的輸出狀態不能直接用邏輯式表示,否則,輸出繼電器Z的動作時間將與 相同。解決的辦法之一是增加一個時間繼電器T,它由 起動得電,經延時 吸合,調整 ,其觸點t在吸合前為常開(t=0, =1),在吸合後閉合(t=1, =0),因而 為簡訊號。即通過時間繼電器將長起動信號與變換成短起動信號 ,於是,T、Z的邏輯式可寫為:
時序開關電路
時序開關電路圖2
時序開關電路在圖2中假設起動信號和停止信號都是長信號( ),這時輸出狀態為起動信號與停止信號的邏輯“與”,不需要專門的保持信號,Z的邏輯式只有一項,即:
時序開關電路如果輸入信號的持續時間與輸出信號的動作時間相同,稱為同步信號,這時起動、保持和停止信號為同一個輸入信號x,輸出信號Z具有最簡單的邏輯式,即:
時序開關電路多餘信號的排除
有時在輸入信號中除了正常起動信號和正常停止信號外,還有多餘的起、停信號可能引起輸出誤動作。為此,需設定中間變數(即中間繼電器)排除多餘的起停信號。
時序開關電路
時序開關電路
時序開關電路
時序開關電路
時序開關電路
時序開關電路在圖3中假設輸入信號 出現三次,其中 對應Z的起動時間,為正常起動信號, '和 "是多餘起動信號, ''在Z動作時間內,不影響Z的動作; '在Z的動作時間外,如不排除,將引起Z的誤動作。
時序開關電路圖3
時序開關電路
時序開關電路
時序開關電路排除多餘起動信號的方法之一是設定中間變數 ,其工作區間只包含正常起動信號 而不包含多餘起動信號 '。這時起動信號取為:
時序開關電路Z的邏輯式為:
時序開關電路
時序開關電路
時序開關電路
時序開關電路
時序開關電路
時序開關電路
時序開關電路
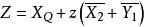
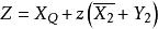
時序開關電路圖4輸入信號 中, 是Z的正常停止信號。 '和 ''互是多餘信號。 ''在Z的工作區間之外,不影響Z的狀態; '在Z的工作區間之內,如不排除將使Z誤停,用中間變數 排除時,Z的停止信號是:
時序開關電路故Z的邏輯式為:
時序開關電路
時序開關電路用中間變數 排除時,Z的停止信號是:
時序開關電路Z的邏輯式為:
時序開關電路
時序開關電路圖4
記憶電路分析
時序開關電路的主要特點是具有記憶功能,能將電路的歷史狀況記憶下來,使其輸出不僅與現時的輸入有關,還與過去的狀況有關。電路的記憶功能除了依靠輸出信號的反饋以外,重要的是依靠中間變數的記憶作用。這裡我們討論兩種採用中間變數的典型記憶電路,利用時序圖分析三要素。
(1)順序記憶電路
能夠從一系列隨機出現的輸入信號中,按照預先規定的順序選取,並在相應順序發出輸出信號,這種具有記憶信號順序功能的電路稱為順序記憶電路。
(2)奇偶記憶電路
當輸入信號奇數次出現時,一個輸出有信號,另一個輸出無信號;當輸入信號偶數次出現時,兩輸出的情況相反。這種能夠記憶信號奇偶次數的電路稱為奇偶記憶電路。
時間單元的設定
時序開關電路在需要延時吸合或延時釋放、定時工作的時序開關電路中應設定時間單元。常用的延時吸合單元是無瞬時反饋的阻容延時電路,在起動信號的持續時間大於延時電路延時的情況下( ),可取延時單元吸合後的反饋信一號作為保持信號,故T,Z的邏輯式為:
時序開關電路
時序開關電路在起動信號的持續時間小於延時的情況下( ),需要增設中間變數Y,Y與時間單元T的通電時間相同,即屬同步信號。這時,Y,T,Z的邏輯式為:
時序開關電路延時單元除了用來延時外,有時還可以兼作中間變數。
綜上所述,設計時序開關電路的基本方法是:了解動作要求;畫出時序圖;找出三要素;需要時設定中間變數和時間單元,寫出邏輯關係式;建立電路圖或矩陣圖。在實際電路中還會有聯鎖、保護及調整等要求,可在此基礎上來進一步完善 。
時序圖
如果有多個輸出變數(即輸出繼電器),有的輸入變數多次動作,那末起動信號、保持信號和停止信號這三要素的組成情況比較複雜,需要有適當的方法,通常把輸入與輸出狀態隨時間變化的圖形畫出來,根據圖形來分析三要素。這樣的圖形我們稱為時序圖。
畫時序圖的一般規則是:
(1)時序圖通常只畫一個程式循環內的電路狀態變化,並把一個程式循環分成若干程式步,全部有關的輸出信號狀態都保持不變的一段時間為一步,只要有一個輸出信號狀態發生改變即轉入下一步。時序圖的橫坐標以步為單位,不論每一步的實際工作時間長短如何,均以單位長度表示;
(2)引起程式步轉移的信號稱為轉步信號,它可以是輸入信號或延時信號或若干信號的組合。在時序圖上步與步之間的分界線即為轉步信號線,線上上方標出相應的轉步信號;
(3)在時序圖的縱坐標上畫出輸入、輸出等信號的狀態,縱坐標為“0”的線段表示無信號(不得電、不動作),即邏輯“0”;縱坐標為“1”的線段表示有信號(得電、動作),即邏輯“1”;
(4)延時單元的狀態,在觸點尚末動作期間用虛線表示,在觸點動作後用實線表示,中間變數狀態改變時,一般不改變程式步。

