定義
當空氣質點做強烈旋轉運動時,其軌跡曲率甚大,故在這類空氣運動中,離心力變得很重要,因為離心力與風速的二次方成正比,而科氏力只與風速的一次方成正比,當風速大,曲率半徑小時,科氏力仍然可能被忽略。這種情況下,氣壓梯度力同離心力處於平衡。一般稱這樣的平衡運動為旋衡風。
旋衡風流型
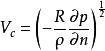
圖1 旋衡風若用V表示旋衡風,則有:
旋衡風
旋衡風
旋衡風很顯然,當R > 0時,必須有 ,即中心為低壓;當R < 0時,必須有 ,中心也為低壓。可見旋衡風只在中心為低壓的天氣系統中才會發生。圖1 給出了兩種情況下的運動狀態。
由此得出旋衡風平衡包括兩種流型:由於離心力方向不同,旋衡風可能有氣旋性圓周運動和反氣旋性圓周運動。無論哪種流型,氣壓梯度力都指向圓心方向,使環流的中心區域為低壓。
由於只考慮了兩種力,必須有些其他的假設:旋衡風平衡必須是無摩擦的,風矢量一直和等高線保持平行,流動是小尺度的或者處於赤道附近(科氏力近似為零)。
判別依據
旋衡風如果我們在自然界假設一種流動是旋衡風的話,科氏力被定義為零。因此必須有一種方法來判斷科氏力是否可以忽略。如果離心力和科氏力之比很大,旋衡風平衡的假設便可以成立。這個比率稱為羅斯貝數: 。(V 為風速,r 為旋轉半徑的絕對值,f 為地轉參數。)
發生實例
對於中緯度地區,陸龍捲和旋風大致滿足旋衡風的條件,它們都是小尺度天氣系統。
在低緯度地區,由於科氏力比較小,旋衡風的平衡條件相對比較容易滿足,系統的水平尺度相對較大,水平尺度L ~ 10 m的系統也有可能出現旋衡風。這有可能是熱帶地區多中尺度渦旋系統的原因之一。

