基本介紹
方差膨脹係數
方差膨脹係數
方差膨脹係數
方差膨脹係數
方差膨脹係數
方差膨脹係數
方差膨脹係數
方差膨脹係數
方差膨脹係數
方差膨脹係數
方差膨脹係數
方差膨脹係數
方差膨脹係數設模型已中心標準化,則回歸係數估計量的協差陣為,其中是中心標準化模型誤差項的方差,是自變數的相關矩陣,因此中心標準化模型的回歸係數的估計量的方差等於誤差項的方差和矩陣中第k個對角元素的乘積。這第二個因子就稱為 方差膨脹係數,記為VIF。可以證明,其中是第k個自變數與其餘的自變數之間的判定係數。因此,當第k個自變數與其餘的自變數之間相關程度愈高,即愈接近1時,相應的VIF也就越大。反之,若與其餘自變數之間相關程度很低,即時,VIF就接近於1 。
在多元回歸中,我們可以通過計算方差膨脹係數VIF來檢驗回歸模型是否存在嚴重的多重共線性問題。定義
方差膨脹係數
方差膨脹係數(方差膨脹係數是容忍度的倒數。)
方差膨脹係數其中,R為自變數對其餘自變數作回歸分析的負相關係數。方差膨脹係數VIF越大,說明自變數之間存在共線性的可能性越大。一般來講,如果方差膨脹因子超過10,則回歸模型存在嚴重的多重共線性。又根據Hair(1995)的共線性診斷標準,當自變數的容忍度大於0.1,方差膨脹係數小於10的範圍是可以接受的,表明白變數之間沒有共線性問題存在 。
方差膨脹係數與多重共線性
多重共線性是指自變數之間存線上性相關關係,即一個自變數可以是其他一個或幾個自變數的線性組合。若存在多重共線性,計算自變數的偏回歸係數時矩陣不可逆。其表現主要有:整個模型的方差分析結果與各個自變數的回歸係數的檢驗結果不一致,專業判斷有統計學意義的自變數檢驗結果卻無意義,自變數的係數或符號與實際情況嚴重不符等。
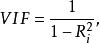
檢驗方法主要有: 容忍度(Tolerance)和 方差膨脹係數(Variance inflation factor,VIF)。其中最常用的是VIF,計算公式為:
方差膨脹係數VIF的取值大於1。VIF值越接近於1,多重共線性越輕,反之越重。當多重共線性嚴重時,應採取適當的方法進行調整 。容忍度的值界於0至1之間,當容忍度值較小時,表示此自變數與其他自變數之間存在共線性。容忍度這個變數回歸係數的估計值不夠穩定,則回歸係數的計算值也會有很大誤差。方差膨脹係數是容忍度的倒數,VIF越大,表示自變數的容忍度越小,越有共線性問題。

