新華富時中國國債指數“新華富時中國國債指數”是由一系列中國石油、中國石化、中國移動等香港上市的H股或紅籌股構成的指數,具備中國經濟強勁增長的動力和人民幣升值預期概念。
簡介
新華富時中國國債指數新華富時中國國債指數的設計理念主要是致力於反映中國大陸債券市場的種種表現。而此市場則主要服務於國內各投資人士。
新華富時中國國債指數涵蓋在上海及深圳交易所交易的債券(就初期階段而言,該指數僅涉及到在上海證券交易所交易的債券)。該指數的實時計算及日末的指數值發布皆以人民幣(元)為計算及計價貨幣,建立在實時報價基礎之上,並且每一分鐘即更新一次。
新華富時中國國債指數系列是由以下內容組成的:總指數(所有年期);一年至三年期的分指數;三年至五年期的分指數;五年至七年期的分指數;七年至十年期的分指數;十年期以上的分指數。
規則與價格
新華富時中國國債指數價格如果富時環球債券指數委員會或負責富時環球債券指數運作及管理的其他任何相關人士認為應該修改基本規則的某一條款或制訂例外規定,這一問題必須提請富時環球債券指數委員會主席或副主席(或他們的代表)的注意。在這種情況下,通常由他們召集富時債券指數委員會的全體來就此問題做出決定。
然而,如果事出緊急,主席和副主席(或他們的代表)將被聯合授權代表富時環球債券指數委員會批准基本規則的例外規定。之後,須立即將此例外規定告知委員會並提請於委員會商議。對於基本規則的重大變更或例外只能由富時政策團予以批准。
債券資格:
到期日至少有一年以上的純定息中國國債 (Straight China Government Bonds) 都將被考慮包含在新華富時中國國債指數內。
這些債券必須是在上海證券交易所掛牌上市的,債券名義發行價值的最低規定。新華富時中國國債指數中的每支債券的最低名義發行價規定為人民幣一百億元。
計算方法
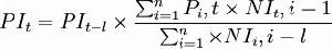
新華富時中國國債指數計算方法淨價指數:
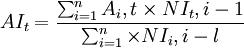
新華富時中國國債指數全價指數:
新華富時中國國債指數
新華富時中國國債指數AIi,t:每個債券應計利息(已包括在債券價格內)
AI:價格指數的應計利息
NIi,t:國債i在t時的發行量
NII,t%26minus;1:國債i在前一天的發行量
PI:淨價指數值
Pi,t:國債i在t時的價格
Pi,t%26minus;1:國債i在前一天的價格
GI:全價指數值
定期修改
新華富時中國國債指數修改名義未付清金額的變更將於當月最後一個營業日結束之後予以調整。
必要的研究將在當月最後的三個歐洲(目標)交易日前進行。該研究主要根據指數架構, 決定哪些債券將會被包含在下個月的指數組合成份中,以及這些債券的發行量值(按百萬元人民幣為單位向上取整)。 相關公告將在本月最後一個交易日結束之前的交易日進行。凡列入新一月的指數組合當中去的定期債券皆為截至到該月第一個交易日仍有一整年或更長時間才到期(以債券起期日加三天為基準開始計算)的債券。
對於將被從指數當中除去的債券,即那些從下月起距到期日不滿一年的債券,將被視為在上月最後一個交易日按照固定價格售出,連同相應的未付利息一律被用於在整個指數組合範圍內進行再投資。
新發行的債券按上月最後一個交易日的固定價格被買入,而後併入指數當中。
如果在先前的一個月量值的變化已達到一千萬元人民幣的最小价值,量值的變更則是在上月的最後一個交易日按照固定價格售出或買入的方式來被加入到指數組合中去或從中除去的。
被除去的或是新加入的債券是在當月最後一個交易日結束之後向市場予以公布。與此同時,這些在組合內的債券未來一月的發行量值也予以公布。所有變更都將在新月份的第一個交易日起生效。
公司介紹
新華富時指數有限公司新華富時精於提供關於中國市場的創新指數,所提供的指數包含中國市場所有主要資產類別及中國股票類別,滿足境內外投資者對中國市場的不同需求。
新華富時指數系列可用於業績衡量基準,也作為發展衍生產品、指數追蹤基金及交易所買賣基金的基礎。國際領先投資公司已有多支基於新華富時指數的ETF產品在北美,歐洲及亞洲上市。
富時集團簡介
富時集團是全球領先指數編制商,旨在幫助投資者建立成功的投資策略,以便贏得更多利潤,獲得更好業績。
富時按照市場需求為所有種類資產提供創造性指數與數據服務,並為客戶提供不間斷支持服務。富時的產品包括全球指數、區域指數、行業指數和專題指數。此外,富時還提供與指數相關的數據與分類體系服務。
富時與全球多個證券交易所及公司均有合作,從而能為客戶提供全球投資服務。
富時為全球77個國家的客戶提供服務,在北京、法蘭克福、香港、倫敦、馬德里、紐約、巴黎、舊金山和東京均設有辦公室。
新華財經簡介
新華財經有限公司(「新華財經」)是一家領導市場的中國金融服務及媒體公司,股份於東京證交所創業板上市,編號為9399(美國預托證券編號:XHFNY)。
新華財經建基於中國且擁有龐大的國際網路,為全球的金融機構、企業和分銷商提供指數系列、信貸評級、財經新聞和投資關係服務四大產品。新華財經於1999年成立,總部設在香港,共有17家辦事處及22家新聞分社遍布亞洲、澳洲、北美洲及歐洲,充分覆蓋中國及國際市場。
獲取途徑
新華富時中國國債指數獲取(1)http://www.xfn.com(指數公布渠道)
(2)上海證券報(指數公布渠道)
(3)www.boshi.com.cn
新華富時中國A200指數和中國A200複合指數的價格和成分股名單的所有權屬於新華富時指數有限公司。博時基金管理有限公司已經獲得著作權許可,使用指數創建產品。
新華富時中國A200指數和中國A200複合指數是非交易所指數,不在交易所掛牌,投資者可在一些股票分析系統的網路版,如乾隆,大智慧,分析家等看到新華系列指數的情況。
若希望獲知新華富時指數的詳細情況,可登錄新華富時指數有限公司網站http://www.ftse-xinhua.com/chinese或撥打新華富時指數有限公司客戶服務電話:010-65159265。
