基本介紹
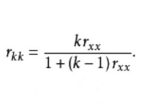
斯皮爾曼-布朗公式表示測驗長度的變化與測驗信度數量關係的公式,即:
斯皮爾曼-布朗公式
斯皮爾曼-布朗公式式中k為加長後的測驗長度與原測驗長度之比,為原測驗的信度值,r為測驗長度是原來的k倍時的信度估計值。在計算分半信度時。測驗長度只是原來的一半,信度就會降低。而整個測驗的長度是半個測驗長度的2倍,將2代入上式,即為
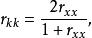
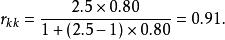
斯皮爾曼-布朗公式這就是計算分半信度時整個測驗信度的估計值。在其他條件不變的情況下,測驗越長,信度越高。如一個測驗有30個試題,其信度為0.80,當增加到70題時,其信度為
斯皮爾曼-布朗公式信度有明顯提高。當測驗加長時,可以改善試題取樣的代表性,從而更好地測量受測者的真實水平;測驗的試題越多,在試題上的隨機誤差可以互相抵消 。
分半信度
分半信度是指將評價量表一分為二,分別計算兩部分的克朗巴赫係數,進而對兩部分量表的信度進行比較。分半的方法一般是奇、偶項(情況特殊時,也可以採用其他標準)將測試題目分為兩半,分別計分,然後計算兩半分數之間的相關係數得到信度係數。從這裡可以看到,分半信度與同質性信度類似,都是使用相關係數進行計算 。
(1)分半信度的評價過程
對每個被評價對象,分別計算評價項目(調查問卷)兩部分的評價得分;計算這兩個得分之間的相關係數;當評價項目(問題)較少時,r有一定的偏差,需要進行修正。修正方法按照評價項目是否相同劃分為以下兩種。
(2)分半信度的修正方法
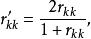
分半信度的修正有兩種方法。當兩部分的評價項目數相同時,採用斯皮爾曼-布朗
Spearman-Brown方法;當兩部分的評價項目數不同時,採用弗拉南根公式或者盧綸公式。
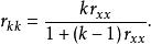
①斯皮爾曼-布朗公式。
斯皮爾曼-布朗公式
斯皮爾曼-布朗公式式中,為兩半測驗分數之間的相關係數。
若公式的套用條件不滿足,就不能使用該公式。此時,可以使用以下兩個公式來估計信度。
②弗拉南根公式。
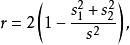
斯皮爾曼-布朗公式
斯皮爾曼-布朗公式式中,分別為兩半的測驗分數的方差;s 為兩部分的檢測總分的方差。
③盧綸公式。
斯皮爾曼-布朗公式
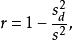
斯皮爾曼-布朗公式式中,是兩半測驗分數之差的方差;s 是測驗總分的方差。
分半信度主要用於評價評估量表的內部一致性 。

