釋義
數理統計分析法(mathematical statistics method)是在礦床勘探中,用數理統計的原理研究勘探網度的一種方法。它在研究礦體形態和品位變化程度的基礎上,根據預期探明儲量的精度要求(即允許誤差),計算出在一定的勘探地段面積內所需要的勘探工程數量,或每個勘探工程所控制的礦體面積。
分析方法
數理統計分析法
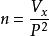
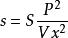
數理統計分析法其計算式為:,或者
式中:n為在一定勘探地段面積內所需要的勘探工程數量;s為每個勘探工程所控制的礦體面積;S為已知礦化範圍或選定的勘探地段的面積;P為儲量的相對允許誤差;Vx為勘探地段內礦體厚度或品位的變化係數。這種方法只能保證平均值具有給定精度,而對地質誤差則未考慮,因此套用時要擁有足夠的工程資料作計算依據,並結合地質情況加以分析。

